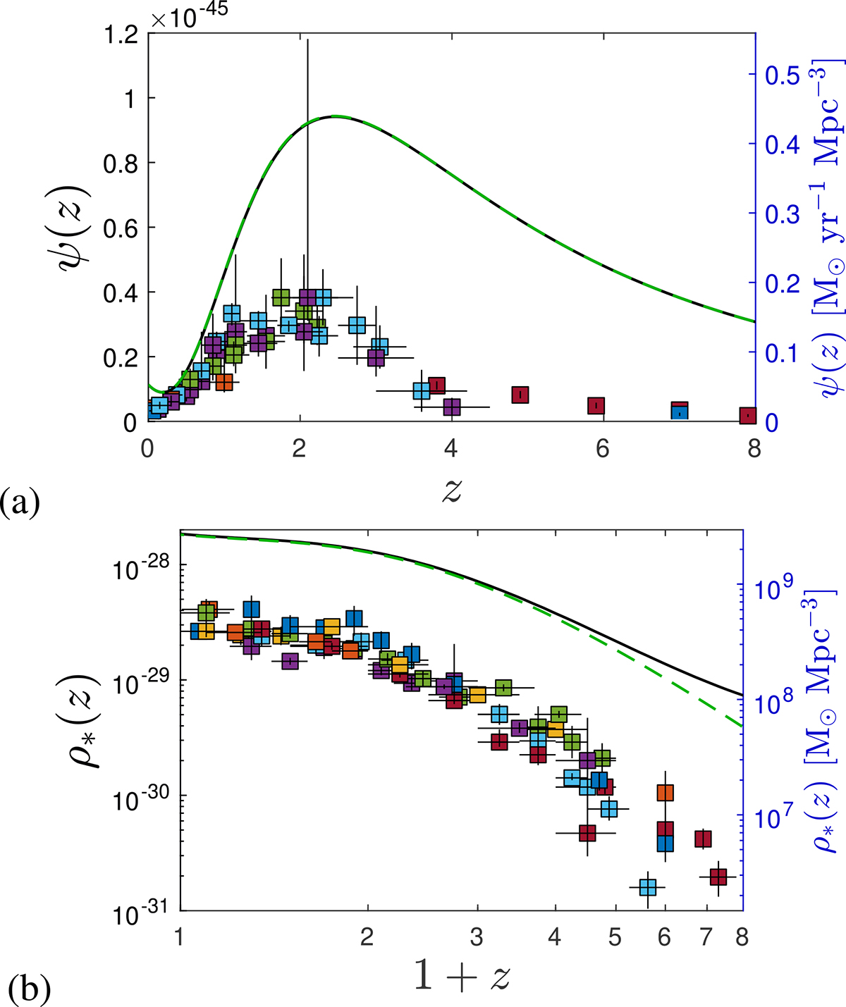
Fig. 4.

Download original image
GS model with zero triggered star formation (a0 = c0 = 0) with r1 = 0.001 and for reasons described in the text. (a) ψGS(z) and (b) ρ*(z) obtained numerically (black solid line) and analytically (green dashed line; Eqs. (54) and (68), respectively). Symbols with error bars are data for ψ(z) and ρ*(z) tabulated by Madau & Dickinson (2014).
Current usage metrics show cumulative count of Article Views (full-text article views including HTML views, PDF and ePub downloads, according to the available data) and Abstracts Views on Vision4Press platform.
Data correspond to usage on the plateform after 2015. The current usage metrics is available 48-96 hours after online publication and is updated daily on week days.
Initial download of the metrics may take a while.