Fig. 9.

Download original image
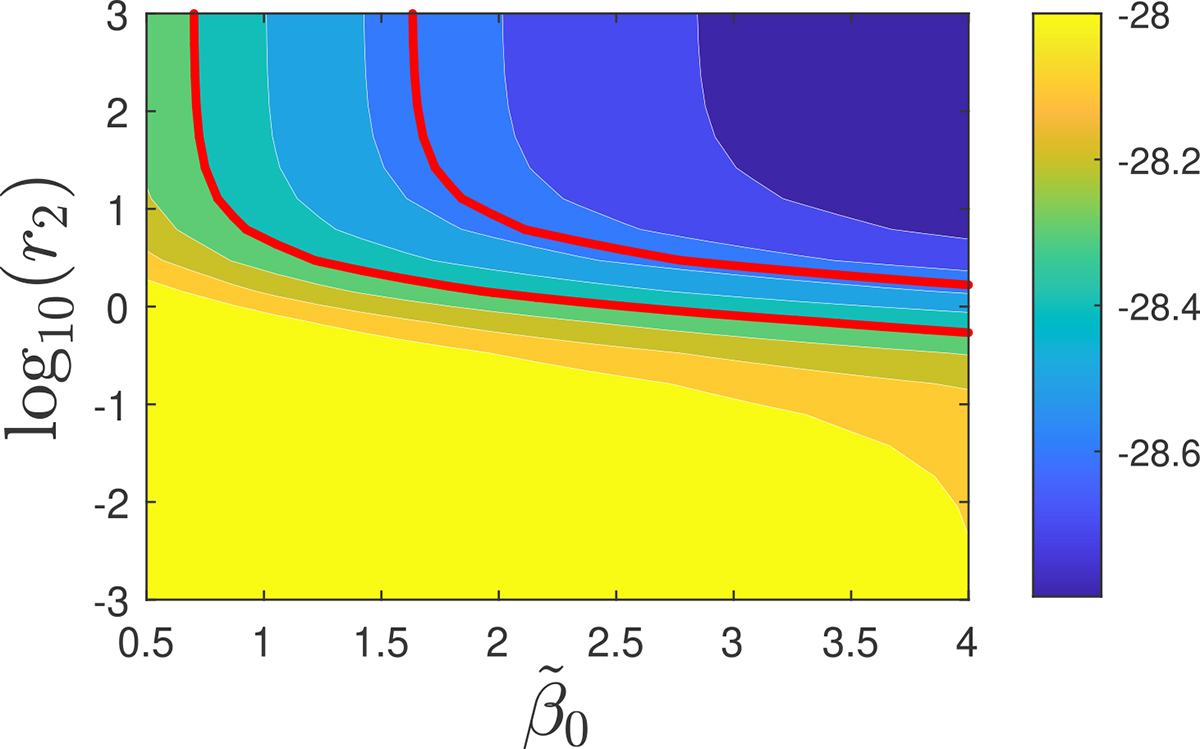
Integrated stellar density (color-encoded) at r1 = 0. Shown is log10[ρGSL*(0) kg−1m3] versus and log10(r2). The reported values for ρ*(0) are located between the two red contour lines. The ρGSL*(0) had been evaluated using the last line of Eq. (90). For r2 = 1, the expression (110) could be used. The values of ρGSL*(0) at the uppermost value r2 = 103 basically agree with the analytic expression
kg m−3, which follows from Eq. (117).
Current usage metrics show cumulative count of Article Views (full-text article views including HTML views, PDF and ePub downloads, according to the available data) and Abstracts Views on Vision4Press platform.
Data correspond to usage on the plateform after 2015. The current usage metrics is available 48-96 hours after online publication and is updated daily on week days.
Initial download of the metrics may take a while.