Open Access
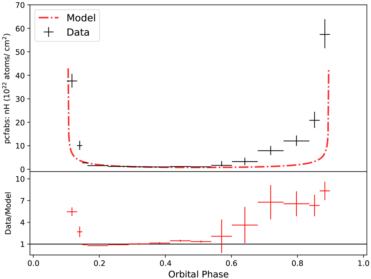
Fig. 10.

Download original image
Local absorption evolution with the orbital phase. Top panel: Variation in local absorption across the orbit overlaid with the best-fit spherically symmetric wind model for the intensity-averaged data. Bottom panel: Ratio between the observed absorption and the best-fit model.
Current usage metrics show cumulative count of Article Views (full-text article views including HTML views, PDF and ePub downloads, according to the available data) and Abstracts Views on Vision4Press platform.
Data correspond to usage on the plateform after 2015. The current usage metrics is available 48-96 hours after online publication and is updated daily on week days.
Initial download of the metrics may take a while.