Fig. 1.

Download original image
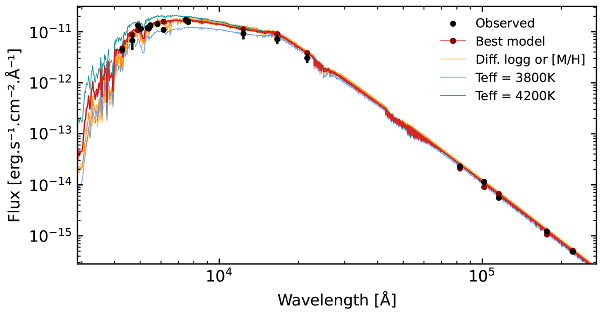
Spectral energy distribution of HD 352 (black), along with the best-fitting BT-Settl theoretical spectrum (red spectrum with dark red symbols for calculated fluxes; Teff = 4000 K, log g = 1.0, and [M/H]= − 1.0) obtained using the VO SED Analyzer. Additional theoretical spectra with the same Teff but different log g or [M/H] are shown in orange. Theoretical spectra for Teff = 3800 K and 4200 K are shown in green and blue, respectively.
Current usage metrics show cumulative count of Article Views (full-text article views including HTML views, PDF and ePub downloads, according to the available data) and Abstracts Views on Vision4Press platform.
Data correspond to usage on the plateform after 2015. The current usage metrics is available 48-96 hours after online publication and is updated daily on week days.
Initial download of the metrics may take a while.