Fig. 6.

Download original image
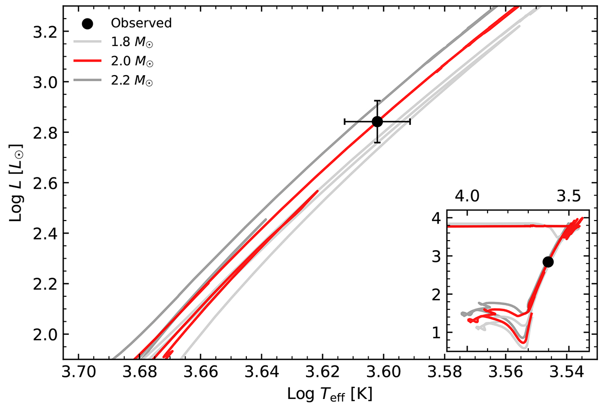
Position of the cool component of HD 352 in the HR diagram (black symbol). The MESA evolutionary tracks (Paxton et al. 2011) obtained using the MIST Web Interpolator (Dotter 2016; Choi et al. 2016) for initial masses of 1.8, 2.0, and 2.2 M⊙ are shown in light gray, red, and dark gray, respectively. A metallicity of −0.13 dex was adopted. The inset shows the whole isochrones.
Current usage metrics show cumulative count of Article Views (full-text article views including HTML views, PDF and ePub downloads, according to the available data) and Abstracts Views on Vision4Press platform.
Data correspond to usage on the plateform after 2015. The current usage metrics is available 48-96 hours after online publication and is updated daily on week days.
Initial download of the metrics may take a while.