Open Access
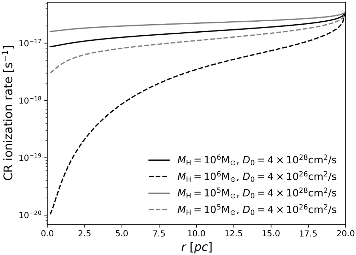
Fig. 7

Download original image
CR ionization rates at different distances from the center of the hypothetical GMCs. The diffusion coefficient of the CRs is D0 = 4 × 1028 cm2/s (solid lines) or D0 = 4 × 1026 cm2/s (dashed lines), and the mass of the molecular cloud is 1 × 106 M⊙ (black lines) or 1 × 105 M⊙ (gray lines).
Current usage metrics show cumulative count of Article Views (full-text article views including HTML views, PDF and ePub downloads, according to the available data) and Abstracts Views on Vision4Press platform.
Data correspond to usage on the plateform after 2015. The current usage metrics is available 48-96 hours after online publication and is updated daily on week days.
Initial download of the metrics may take a while.