Open Access

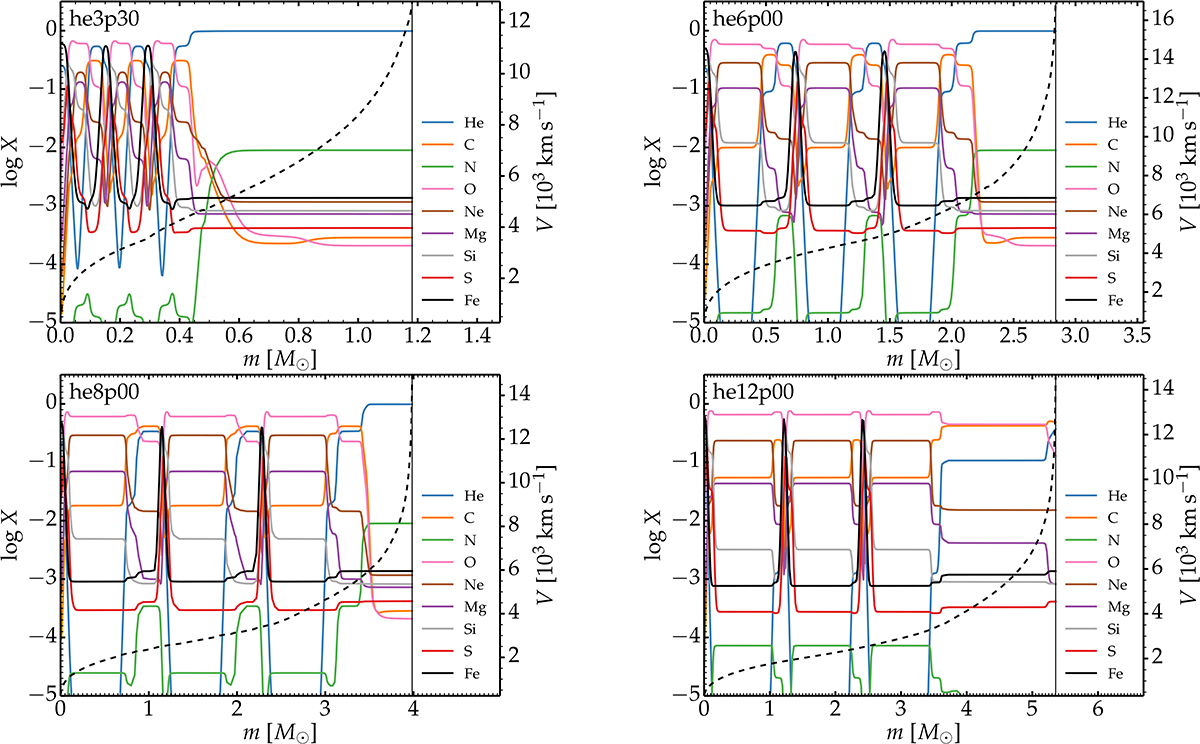
Fig. 1.

image

Download original image

Initial ejecta properties. From top-left to bottom-right panels, we show the composition versus mass for the dominant species, including He, C, N, O, Ne, Mg, Si, S, and Fe, for models he3p30, he6p00, he8p00, and he12p00. We also show the ejecta velocity (dashed line, with labelling on the y-axis at right).

Current usage metrics show cumulative count of Article Views (full-text article views including HTML views, PDF and ePub downloads, according to the available data) and Abstracts Views on Vision4Press platform.

Data correspond to usage on the plateform after 2015. The current usage metrics is available 48-96 hours after online publication and is updated daily on week days.

Initial download of the metrics may take a while.