Fig. 5.

Download original image
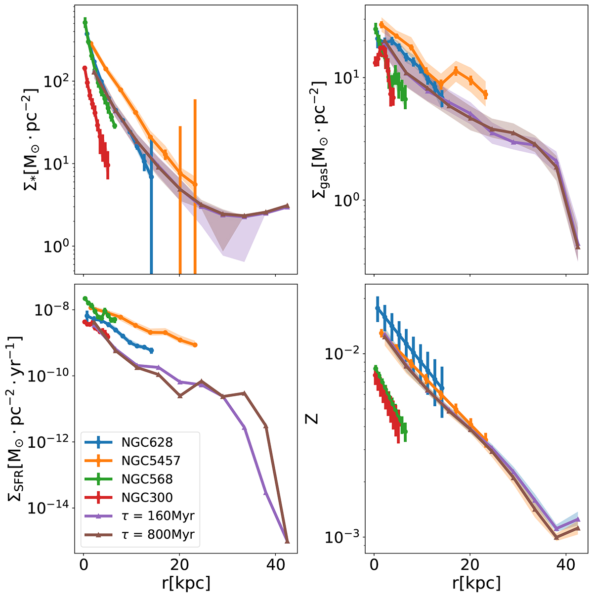
Radial profiles. Here we show Σ* (top left), Σgas (top right), ΣSFR (bottom left), and Z (bottom right) for NGC 628, NGC 5457, NGC 598, and NGC 300 (as shown in the legend) compared to the two galaxies simulated in the GADGET4-OSAKA with two different values for the dust-accretion timescales (τ0 = 160 and 800 Myr for the purple and brown lines, respectively). The lines indicate the average values and the uncertainties of the rings, and the shaded area is the 1σ within the ring. We note here that ΣSFR shows little dispersion inside the rings in the simulations. The initial conditions for the GADGET4-OSAKA simulations were adjusted to reproduce the observed profiles for NGC 628 (see the Appendix of Matsumoto et al. 2024).
Current usage metrics show cumulative count of Article Views (full-text article views including HTML views, PDF and ePub downloads, according to the available data) and Abstracts Views on Vision4Press platform.
Data correspond to usage on the plateform after 2015. The current usage metrics is available 48-96 hours after online publication and is updated daily on week days.
Initial download of the metrics may take a while.