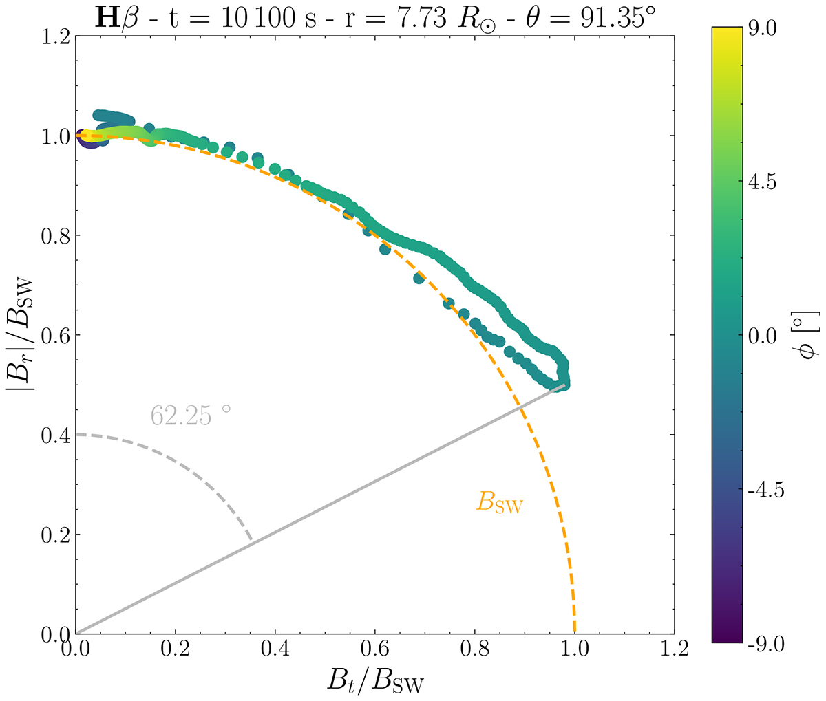
Fig. 13.

Download original image
Magnetic field evolution in the Bt − Br plane of the synthetic measurements of Fig. 12. This normalised hodogram displays the change of the magnetic field vector orientation, colour coded according to the varying values of the ϕ coordinate. The quarter of constant ambient solar wind magnetic field intensity, |BSW|, is plotted with an orange dashed curve. The vector of maximum magnetic deflection is represented in grey.
Current usage metrics show cumulative count of Article Views (full-text article views including HTML views, PDF and ePub downloads, according to the available data) and Abstracts Views on Vision4Press platform.
Data correspond to usage on the plateform after 2015. The current usage metrics is available 48-96 hours after online publication and is updated daily on week days.
Initial download of the metrics may take a while.