Fig. 2.

Download original image
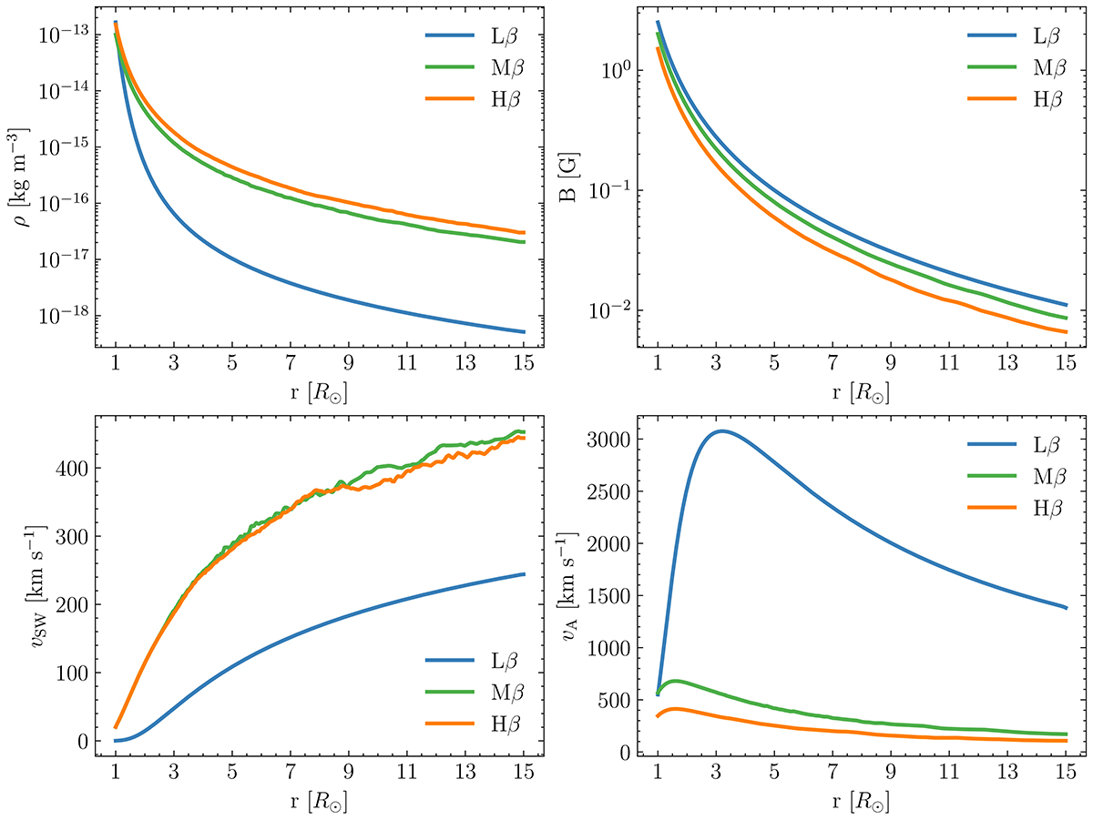
Comparison of the background radial profiles of diverse quantities in the three parametric simulations: low β (blue curves), medium β (green curves), and high β (orange curves). The figure panels correspond to: mass density, ρ (top left), magnetic field intensity, |B| (top right), solar wind velocity intensity, |vSW| (bottom left), and Alfvén speed, vA (bottom right).
Current usage metrics show cumulative count of Article Views (full-text article views including HTML views, PDF and ePub downloads, according to the available data) and Abstracts Views on Vision4Press platform.
Data correspond to usage on the plateform after 2015. The current usage metrics is available 48-96 hours after online publication and is updated daily on week days.
Initial download of the metrics may take a while.