Open Access
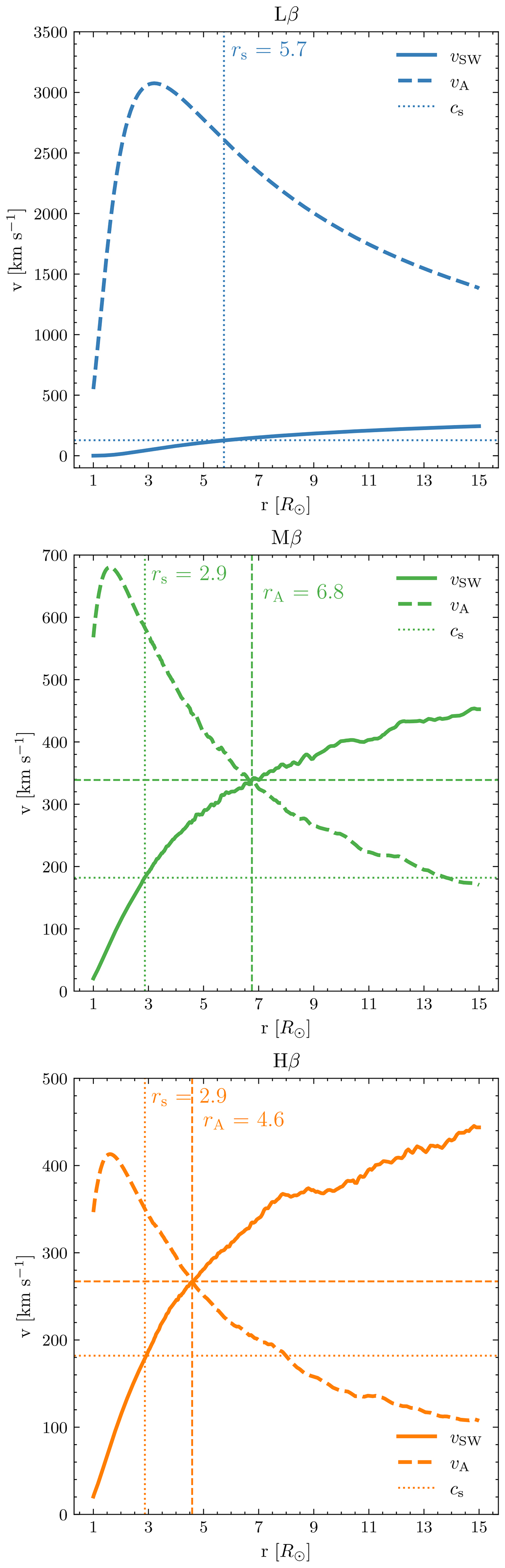
Fig. 4.

Download original image
Radial distributions of the atmospheric velocity, Alfvén speed, and sonic speed for Lβ (top panel), Mβ (middle panel), and Hβ (bottom panel) simulations. The radius of the Alfvén and sonic surfaces are respectively indicated by dashed and dotted vertical lines.
Current usage metrics show cumulative count of Article Views (full-text article views including HTML views, PDF and ePub downloads, according to the available data) and Abstracts Views on Vision4Press platform.
Data correspond to usage on the plateform after 2015. The current usage metrics is available 48-96 hours after online publication and is updated daily on week days.
Initial download of the metrics may take a while.