Open Access
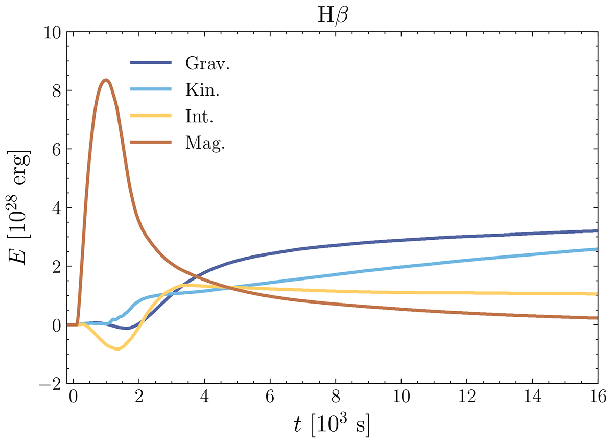
Fig. 6.

Download original image
Temporal evolution of gravitational (indigo), kinetic (blue), internal (yellow), and magnetic (orange) energy variations for the Hβ simulation. Energies are computed relative to their values at time t = 0: (E(t)−E(t = 0)). The reference time, t = 0, is defined as 100 seconds before the onset of magnetic injection.
Current usage metrics show cumulative count of Article Views (full-text article views including HTML views, PDF and ePub downloads, according to the available data) and Abstracts Views on Vision4Press platform.
Data correspond to usage on the plateform after 2015. The current usage metrics is available 48-96 hours after online publication and is updated daily on week days.
Initial download of the metrics may take a while.