Fig. 2

Download original image
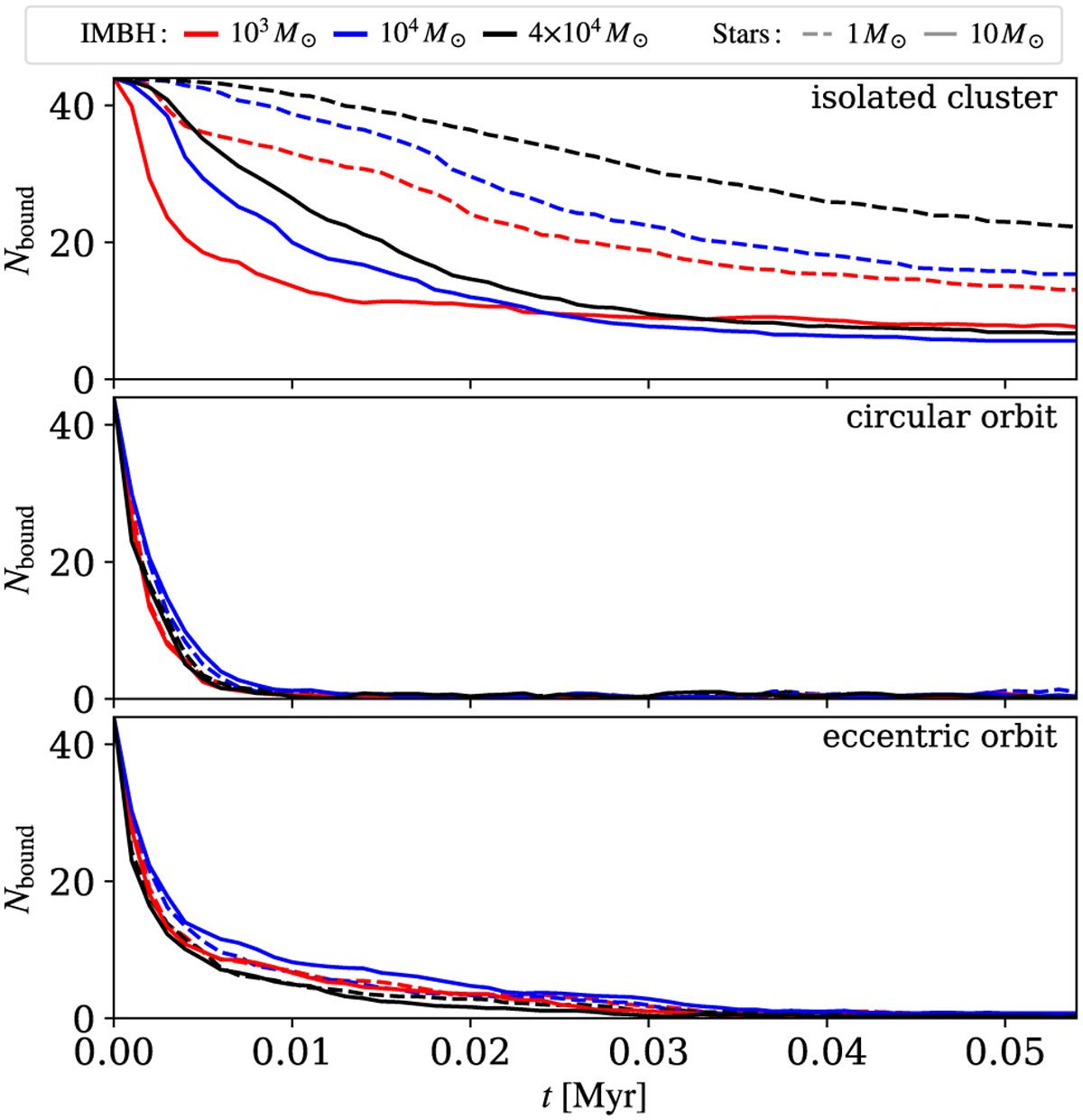
Time evolution of the number of stars bound to the IMBH (colour-coded based on its mass) in the SC models containing 44 stars initially and an IRS13-like IMBH. Each panel shows a different set of models, either isolated or on a specified orbit. The line style (dashed or solid) corresponds to the stellar masses in the SC. The average from ten realisations is shown.
Current usage metrics show cumulative count of Article Views (full-text article views including HTML views, PDF and ePub downloads, according to the available data) and Abstracts Views on Vision4Press platform.
Data correspond to usage on the plateform after 2015. The current usage metrics is available 48-96 hours after online publication and is updated daily on week days.
Initial download of the metrics may take a while.