Open Access
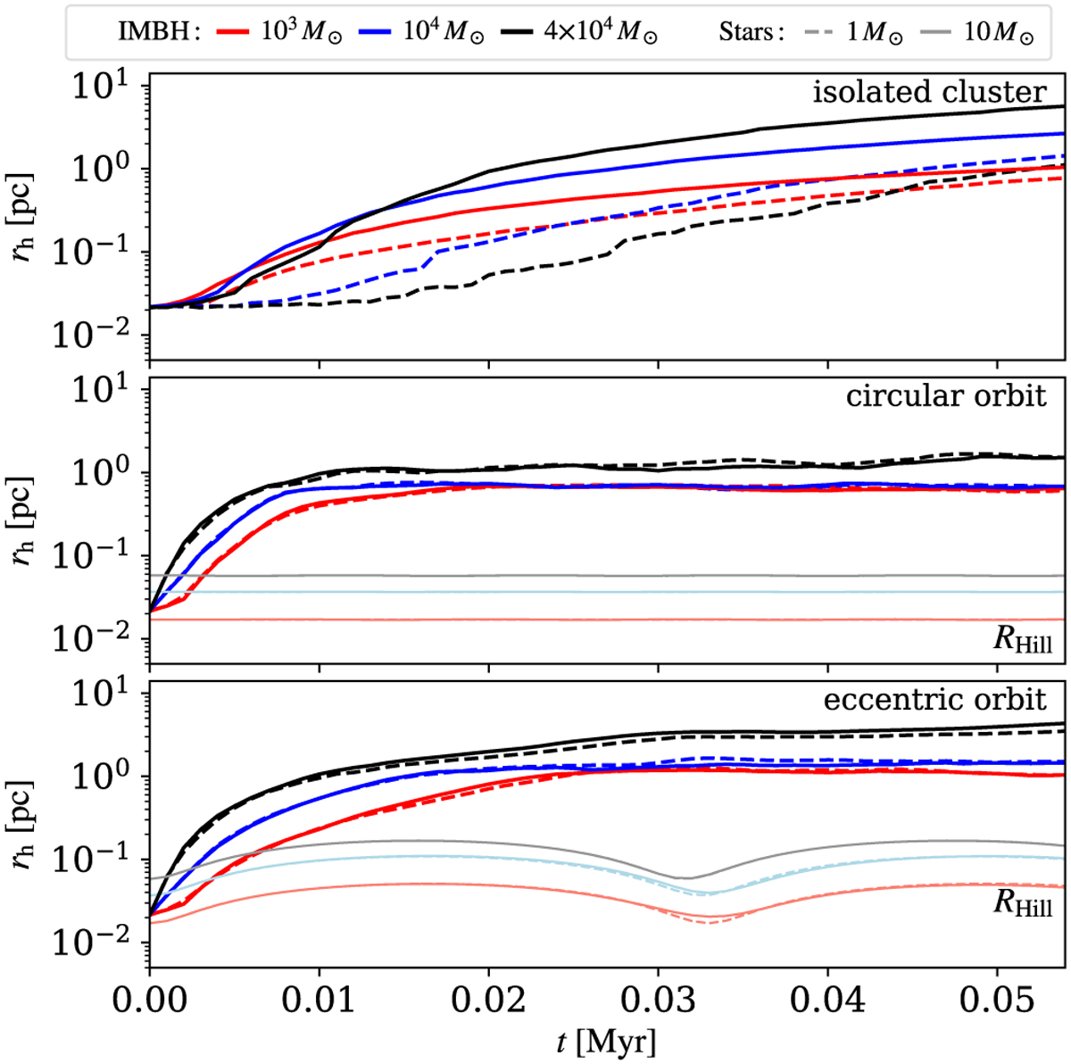
Fig. 3

Download original image
Similar to Fig. 2, but for the time evolution of the half-mass radii. The Hill radius of each IMBH is drawn with a pale-coloured line of the corresponding model. The average from ten realisations of each model is shown.
Current usage metrics show cumulative count of Article Views (full-text article views including HTML views, PDF and ePub downloads, according to the available data) and Abstracts Views on Vision4Press platform.
Data correspond to usage on the plateform after 2015. The current usage metrics is available 48-96 hours after online publication and is updated daily on week days.
Initial download of the metrics may take a while.