Fig. 5.

Download original image
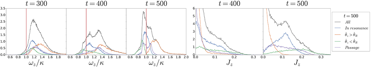
1D distributions of the orbits trapped into the bar over the time interval t = 300 − 400, which were flat (Jz < 0.05) at t = 300 (the same orbits as in Fig. 2): The three left plots display the secular frequency ratio ωz/κ at t = 300, 400, and 500, respectively. The two right plots correspond to the secular vertical action Jz at t = 400 and t = 500. The gray lines show the distributions of all trapped orbits, and the other colors indicate orbits with different behaviors (the same as in Fig. 3) at t = 500.
Current usage metrics show cumulative count of Article Views (full-text article views including HTML views, PDF and ePub downloads, according to the available data) and Abstracts Views on Vision4Press platform.
Data correspond to usage on the plateform after 2015. The current usage metrics is available 48-96 hours after online publication and is updated daily on week days.
Initial download of the metrics may take a while.