Open Access

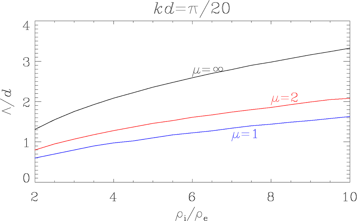
Fig. 10.

image

Download original image

Dividing curves in ρi/ρe − Λ/d plane, separating the area where the concept of discrete leaky modes helps (the portion below a curve) from where it does not (above). The axial wave number is fixed at kd = π/20, whereas a number of steepness parameters μ are examined as discriminated by the different colors.

Current usage metrics show cumulative count of Article Views (full-text article views including HTML views, PDF and ePub downloads, according to the available data) and Abstracts Views on Vision4Press platform.

Data correspond to usage on the plateform after 2015. The current usage metrics is available 48-96 hours after online publication and is updated daily on week days.

Initial download of the metrics may take a while.