Fig. B.1.

Download original image
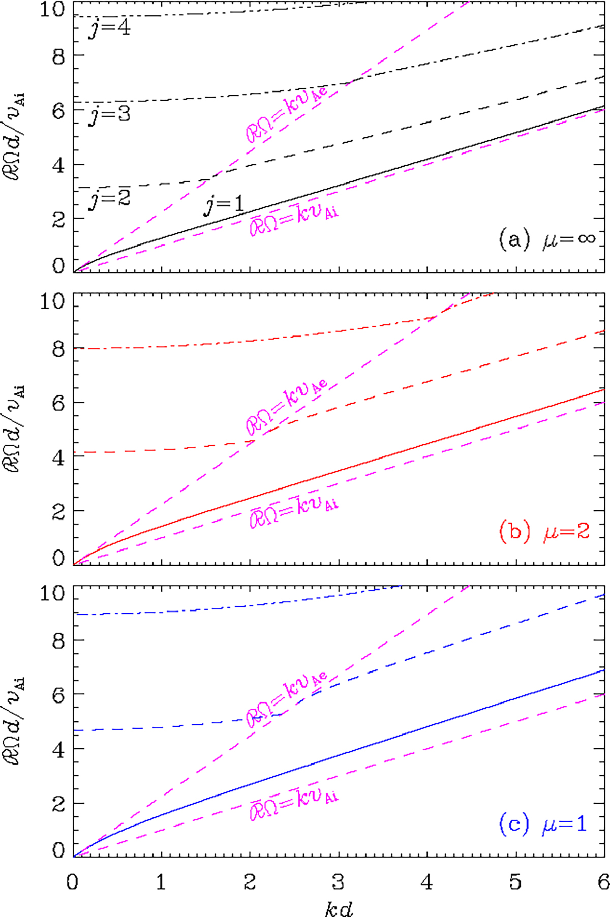
Dependence on the axial wavenumber (k) of the real part of the mode frequency (ℜΩ) pertaining to the classic BVP. The density contrast is fixed at ρi/ρe = 5, whereas several steepness parameters (μ) are examined in different panels as labeled. The magenta dashed lines represent ℜΩ = kvAi and ℜΩ = kvAe, the latter separating discrete leaky modes (DLMs, to its left) from trapped modes (to its right). The trapped modes are identical to the proper eigenmodes in Fig. 2; the mode labeling convention therein applies here. Mode labels with j ≥ 2 also make sense for the DLMs, as illustrated in panel a.
Current usage metrics show cumulative count of Article Views (full-text article views including HTML views, PDF and ePub downloads, according to the available data) and Abstracts Views on Vision4Press platform.
Data correspond to usage on the plateform after 2015. The current usage metrics is available 48-96 hours after online publication and is updated daily on week days.
Initial download of the metrics may take a while.