Fig. 3.

Download original image
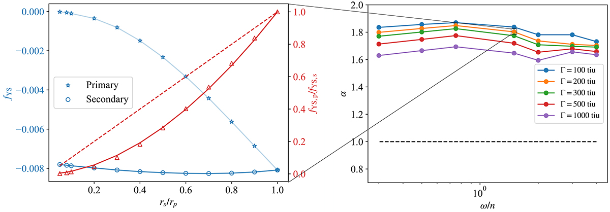
Left: YS coefficient as a function of the secondary-to-primary size ratio. The primary asteroid has a radius of 1 km. The orbital period is 12 hours, and the spin periods of both components are 8 hours. The ratio of the primary-to-secondary YS coefficient is indicated by red triangles. The solid red line represents the best-fit curve: fYS, p/fYS, s = (rs/rp)1.80. The dashed red line shows the theoretical formula without accounting for the non-linear effect of partial eclipses: fYS, p/fYS, s = (rs/rp). Right: Value of α as a function of the frequency ratio and thermal inertia. The dashed black line represents the theoretical value, excluding the non-linear effects of partial eclipses. For a typical small binary system with Γ ∼ 200 tiu and a primary spin period of approximately three hours, α is around 1.8.
Current usage metrics show cumulative count of Article Views (full-text article views including HTML views, PDF and ePub downloads, according to the available data) and Abstracts Views on Vision4Press platform.
Data correspond to usage on the plateform after 2015. The current usage metrics is available 48-96 hours after online publication and is updated daily on week days.
Initial download of the metrics may take a while.