Fig. 2.

Download original image
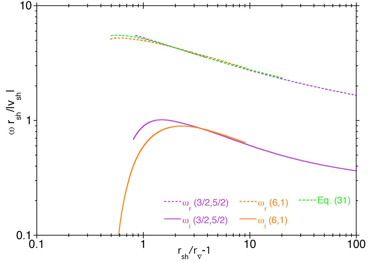
Growth rate (solid lines) and oscillation frequency (dashed lines) of the fundamental SASI mode, normalised by |vsh|/rsh, calculated with ε = 0 for the cooling parameters (3/2, 5/2) (purple) and (6, 1) (orange), and displayed as functions of rsh/r∇. The analytic fitting formula (31) for ωr is displayed with a green dashed line.
Current usage metrics show cumulative count of Article Views (full-text article views including HTML views, PDF and ePub downloads, according to the available data) and Abstracts Views on Vision4Press platform.
Data correspond to usage on the plateform after 2015. The current usage metrics is available 48-96 hours after online publication and is updated daily on week days.
Initial download of the metrics may take a while.