Fig. 4.

Download original image
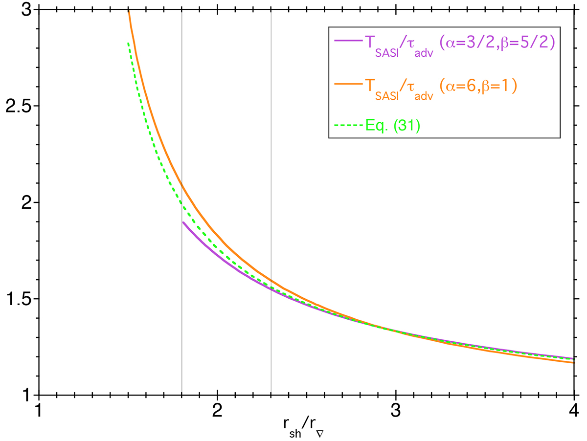
Variation in the ratio associated with the fundamental SASI mode, ℓ = 1, calculated for the cooling parameters (3/2, 5/2) (purple) and (6, 1) (orange) and displayed as functions of rsh/r∇. The vertical lines highlight the range of rsh/rns in the analysis of model s25 in Müller & Janka (2014). The analytic fitting formula (31) is displayed with a dashed green line.
Current usage metrics show cumulative count of Article Views (full-text article views including HTML views, PDF and ePub downloads, according to the available data) and Abstracts Views on Vision4Press platform.
Data correspond to usage on the plateform after 2015. The current usage metrics is available 48-96 hours after online publication and is updated daily on week days.
Initial download of the metrics may take a while.