Fig. 8.

Download original image
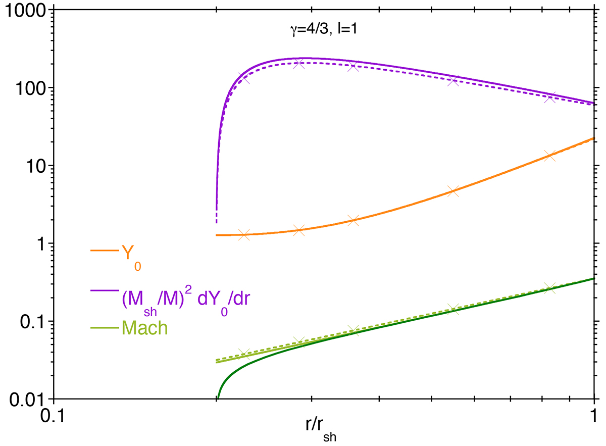
Solution of the homogeneous equation Y0 associated with the fundamental mode ℓ = 1 (solid orange line) for rsh/rns = 5. This solution is very well approximated analytically by Eq. (73) (dashed orange line with crosses). The radial profile of the amplitude of the forcing term in Eq. (63) (purple solid line) is compared to its analytical approximation (dashed purple line with crosses) using Eqs. (72) and (74). The Mach number profile in the adiabatic model (green solid line) is compared to its analytical approximation (Eq. (72), green dashed line with crosses). The Mach profile of the flow including cooling is shown for reference (dark green line).
Current usage metrics show cumulative count of Article Views (full-text article views including HTML views, PDF and ePub downloads, according to the available data) and Abstracts Views on Vision4Press platform.
Data correspond to usage on the plateform after 2015. The current usage metrics is available 48-96 hours after online publication and is updated daily on week days.
Initial download of the metrics may take a while.