Fig. 9.

Download original image
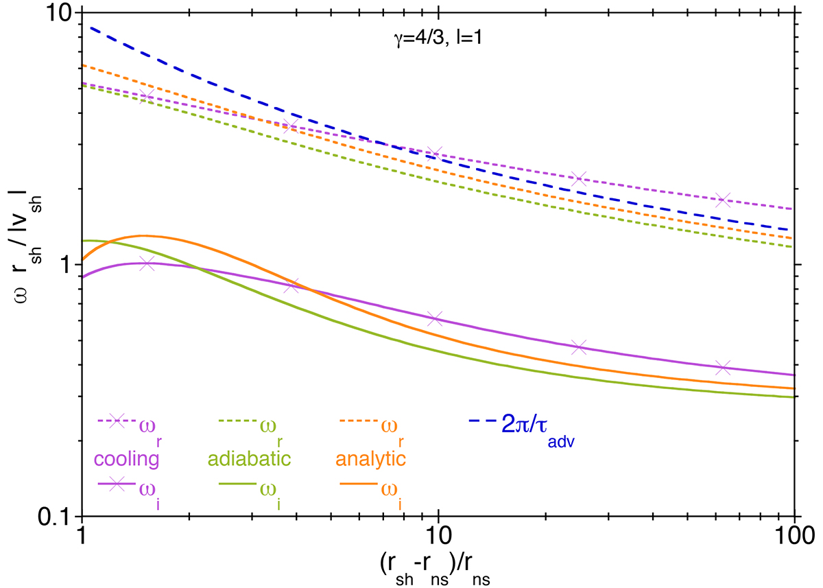
Eigenfrequency of the adiabatic solution (green lines) based on the integral formulation (63) compared to its integrated approximation (83) (orange lines), which is based on the approximate description of the flow profile v,ℳ and acoustic structure Y0. The estimate of the oscillation frequency neglecting the phase of 𝒬 is shown as a dashed blue line. For reference, the eigenfrequency of the flow with cooling using (α, β) = (3/2, 5/2) is also shown (purple lines with crosses).
Current usage metrics show cumulative count of Article Views (full-text article views including HTML views, PDF and ePub downloads, according to the available data) and Abstracts Views on Vision4Press platform.
Data correspond to usage on the plateform after 2015. The current usage metrics is available 48-96 hours after online publication and is updated daily on week days.
Initial download of the metrics may take a while.