Fig. 11.

Download original image
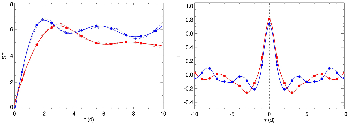
Results of the time-series analysis. Left: SF on deboosted optical flux densities in low (red) and high (blue) states. Dots refer to SF sampling every 24 h, and empty diamonds refer to sampling every 30 h. Right: ACF on deboosted optical flux densities in low (red) and high (blue) states. In both panels, lines represent cubic spline interpolations.
Current usage metrics show cumulative count of Article Views (full-text article views including HTML views, PDF and ePub downloads, according to the available data) and Abstracts Views on Vision4Press platform.
Data correspond to usage on the plateform after 2015. The current usage metrics is available 48-96 hours after online publication and is updated daily on week days.
Initial download of the metrics may take a while.