Open Access
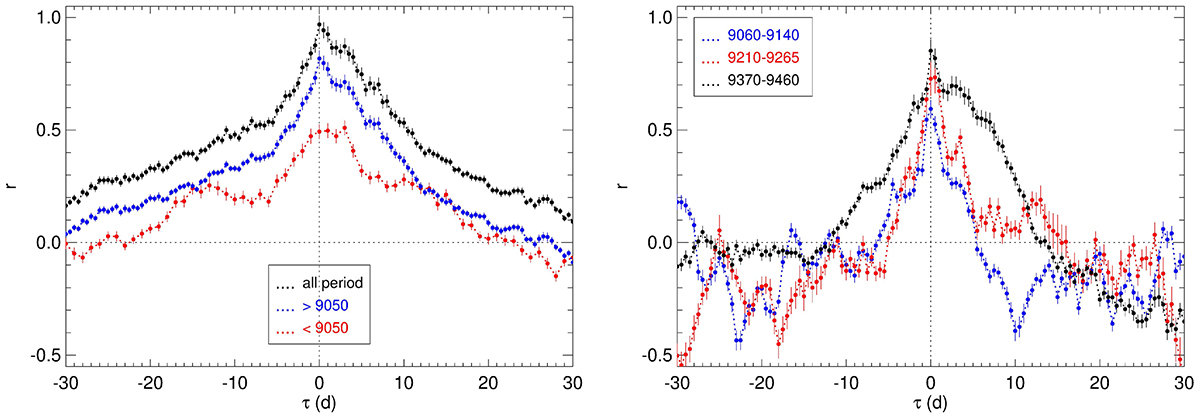
Fig. 7.

Download original image
DCF between γ-ray and optical fluxes for various intervals of time. In all cases, the main peak at τ ∼ 0 d indicates correlation with almost no time delay.
Current usage metrics show cumulative count of Article Views (full-text article views including HTML views, PDF and ePub downloads, according to the available data) and Abstracts Views on Vision4Press platform.
Data correspond to usage on the plateform after 2015. The current usage metrics is available 48-96 hours after online publication and is updated daily on week days.
Initial download of the metrics may take a while.