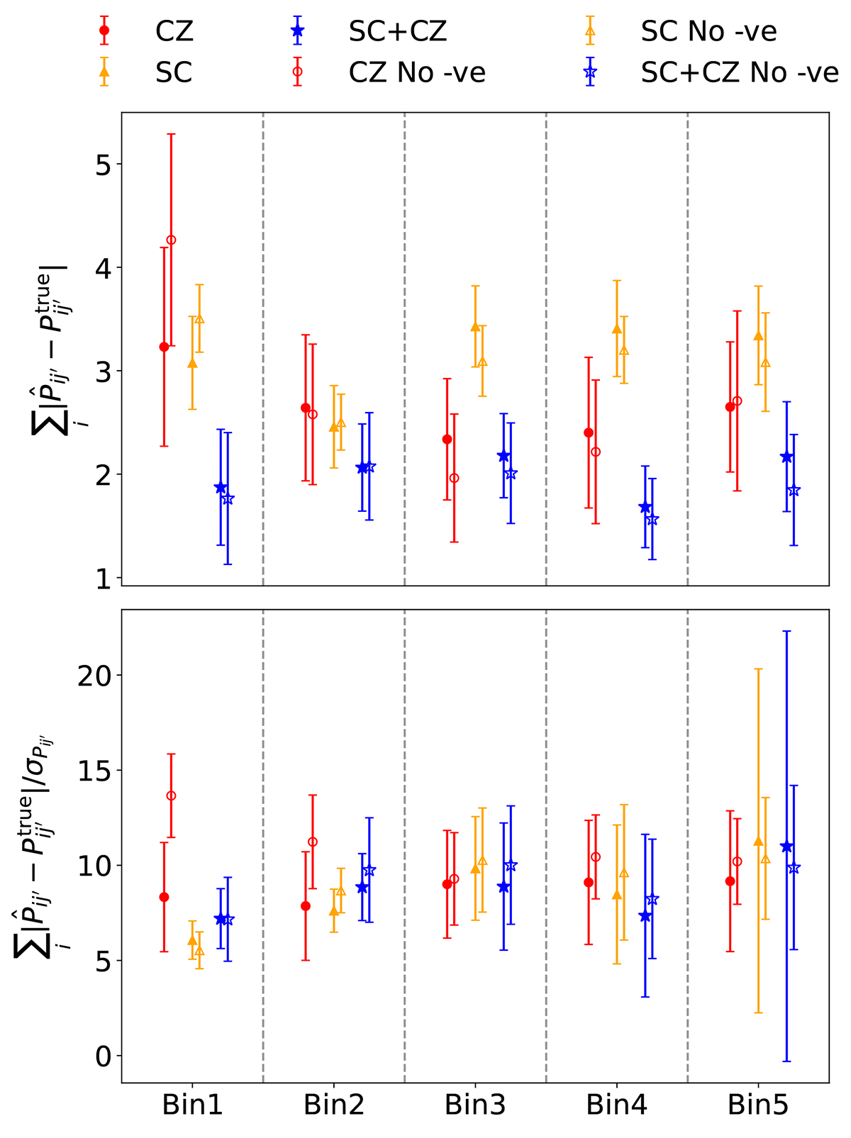
Fig. C.2.

Download original image
Absolute error of the true-z distribution estimated using samples processed by setting the negative measurements to a tiny positive value (empty markers) or not (filled markers). Shown are the results from SC (orange), CZ (red), and SC+CZ (blue). Upper panel: , the absolute difference between the true-z distribution measured from the mock, Pij′true and the one estimated,
. Lower panel:
the absolute difference normalized by the estimated error σPij′.
Current usage metrics show cumulative count of Article Views (full-text article views including HTML views, PDF and ePub downloads, according to the available data) and Abstracts Views on Vision4Press platform.
Data correspond to usage on the plateform after 2015. The current usage metrics is available 48-96 hours after online publication and is updated daily on week days.
Initial download of the metrics may take a while.