Open Access

Fig. B.5.

image

Download original image

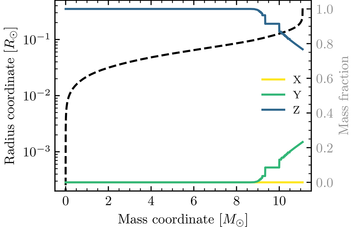
Final profile of an initially 92.42 M star with WR winds enhanced by a factor 1.2. The dashed black line is the radius, and the coloured lines are the mass fractions of hydrogen (X), helium (Y), and metals (Z).

Current usage metrics show cumulative count of Article Views (full-text article views including HTML views, PDF and ePub downloads, according to the available data) and Abstracts Views on Vision4Press platform.

Data correspond to usage on the plateform after 2015. The current usage metrics is available 48-96 hours after online publication and is updated daily on week days.

Initial download of the metrics may take a while.