Open Access

Fig. 2.

image

Download original image

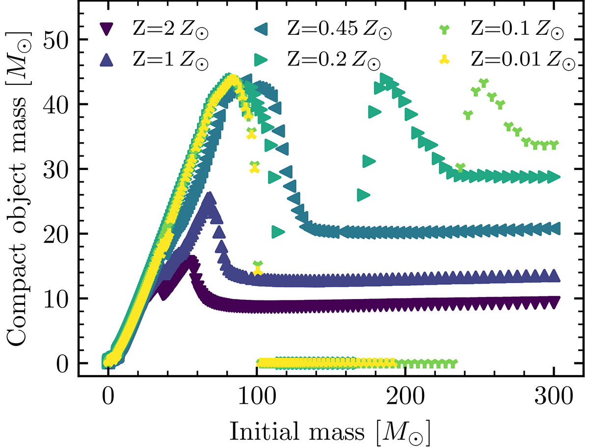
Remnant mass function of single stars depending on their initial mass. The colour and symbol show different metallicities. We used the direct collapse prescription in POSYDON. At Z ≤ 0.2 Z stars with initial masses above 100 M might not form a BH because of pair instability and are shown here with a zero mass. Stars with initial masses above the pair-instability gap form BHs outside the plotted range, with masses above 100 M at the lowest shown metallicity.

Current usage metrics show cumulative count of Article Views (full-text article views including HTML views, PDF and ePub downloads, according to the available data) and Abstracts Views on Vision4Press platform.

Data correspond to usage on the plateform after 2015. The current usage metrics is available 48-96 hours after online publication and is updated daily on week days.

Initial download of the metrics may take a while.