Fig. 3.

Download original image
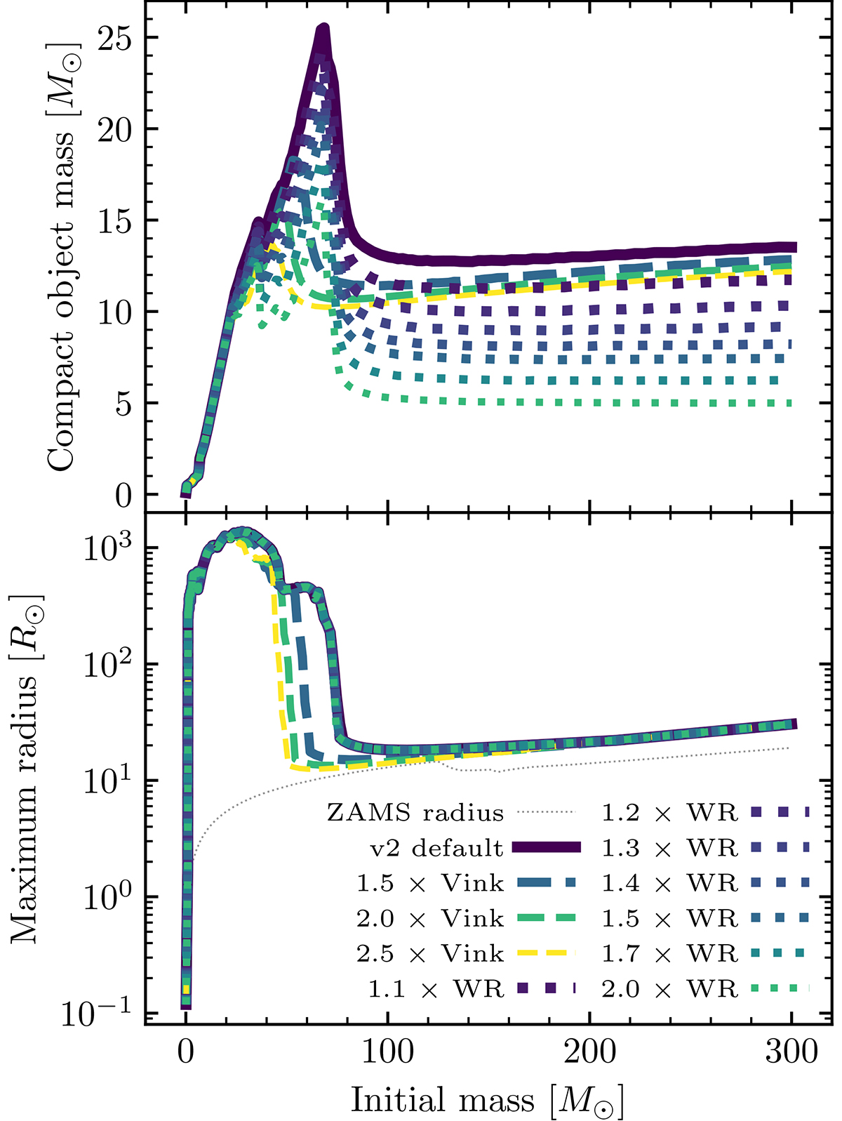
Same as Fig. 2 (top) and Fig. 1 (bottom), but here we show different variations of the wind at solar metallicity (see legend). The dotted grey line shows the ZAMS radius, where the discontinuity at about 130 M⊙ is a numerical artefact in the ZAMS models due to the detection criterion of ZAMS. The WR wind variations all overlap in the bottom panel.
Current usage metrics show cumulative count of Article Views (full-text article views including HTML views, PDF and ePub downloads, according to the available data) and Abstracts Views on Vision4Press platform.
Data correspond to usage on the plateform after 2015. The current usage metrics is available 48-96 hours after online publication and is updated daily on week days.
Initial download of the metrics may take a while.