Fig. 6.

Download original image
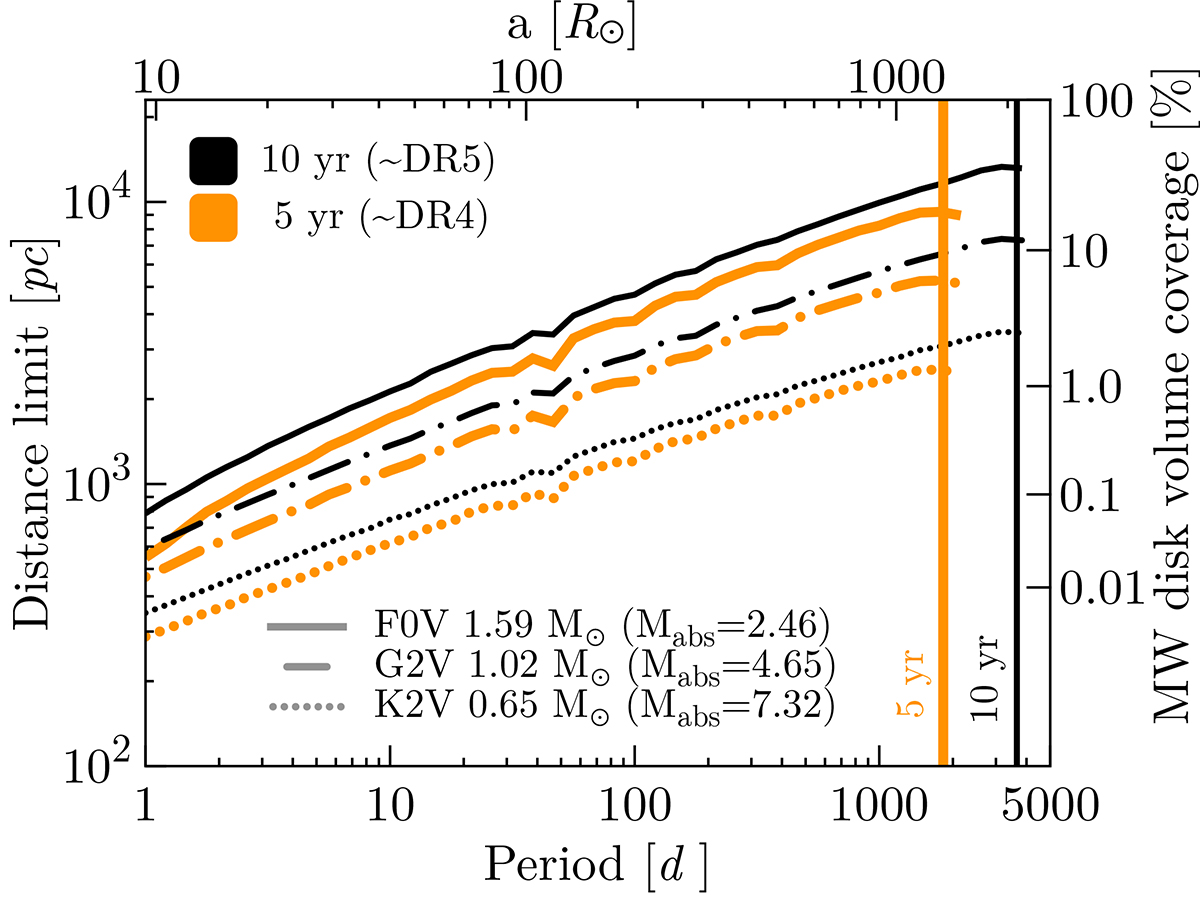
Gaia detection limits for a non-luminous companions of 10 M⊙ on a circular orbit around a F0V, G2V, and K2V star. The lines represent the (sky-uniform) median distance limit at which the Δχ2 = 100 between a single star and a circular Keplerian orbital model fit, corresponding to (typically) well-constrained orbital fits. Estimates were provided for the 5 yr nominal mission (∼DR4) and 10 yr extended mission (∼DR5) as a function of period. Successful detections drop quickly for orbital periods longer than the data time-span, and the graphs are therefore truncated at 5 and 10 yr. At the top, the semi-major axis (a) is specified for a G2V star, although the difference for the other masses would be hardly noticeable. On the right side, we provide a rough estimate of the MW coverage for a specific distance limit, assuming a disk of height 1.15 kpc and radius 15 kpc, and we therefore obtain a full coverage at 23 kpc. All detection values assume zero extinction.
Current usage metrics show cumulative count of Article Views (full-text article views including HTML views, PDF and ePub downloads, according to the available data) and Abstracts Views on Vision4Press platform.
Data correspond to usage on the plateform after 2015. The current usage metrics is available 48-96 hours after online publication and is updated daily on week days.
Initial download of the metrics may take a while.