Fig. 6.

Download original image
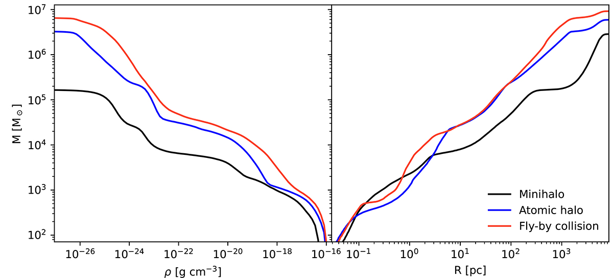
Mass weighted gas profiles for the isolated halo types and the fly-by collision scenario, compared at 5 Myr after the formation of the first sink particle, i.e. when the sink particle is deeply embedded in the dense, shocked region (see the middle panel of Fig. 5). Left: Mass of gas at or above density thresholds as a function of the density threshold. Right: Cumulative mass as a function of radius from the sink particle.
Current usage metrics show cumulative count of Article Views (full-text article views including HTML views, PDF and ePub downloads, according to the available data) and Abstracts Views on Vision4Press platform.
Data correspond to usage on the plateform after 2015. The current usage metrics is available 48-96 hours after online publication and is updated daily on week days.
Initial download of the metrics may take a while.