Open Access
Fig. 8.

Download original image
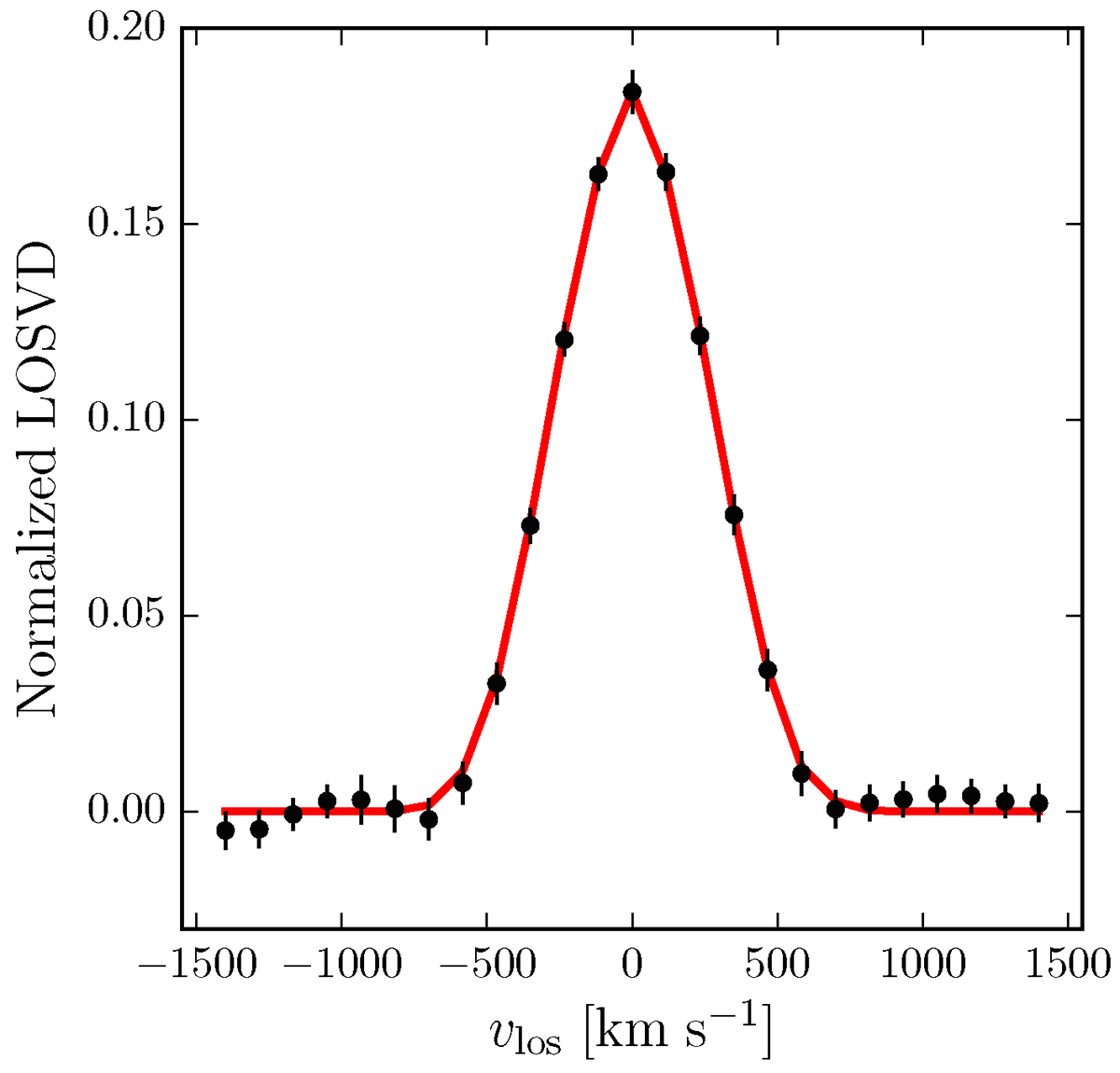
Line-of-sight velocity distribution measured at 4 arcsec from the center of NGC 1272 (filled circles with error bars). The red line connects the values provided by the base model.
Current usage metrics show cumulative count of Article Views (full-text article views including HTML views, PDF and ePub downloads, according to the available data) and Abstracts Views on Vision4Press platform.
Data correspond to usage on the plateform after 2015. The current usage metrics is available 48-96 hours after online publication and is updated daily on week days.
Initial download of the metrics may take a while.