Fig. 9.

Download original image
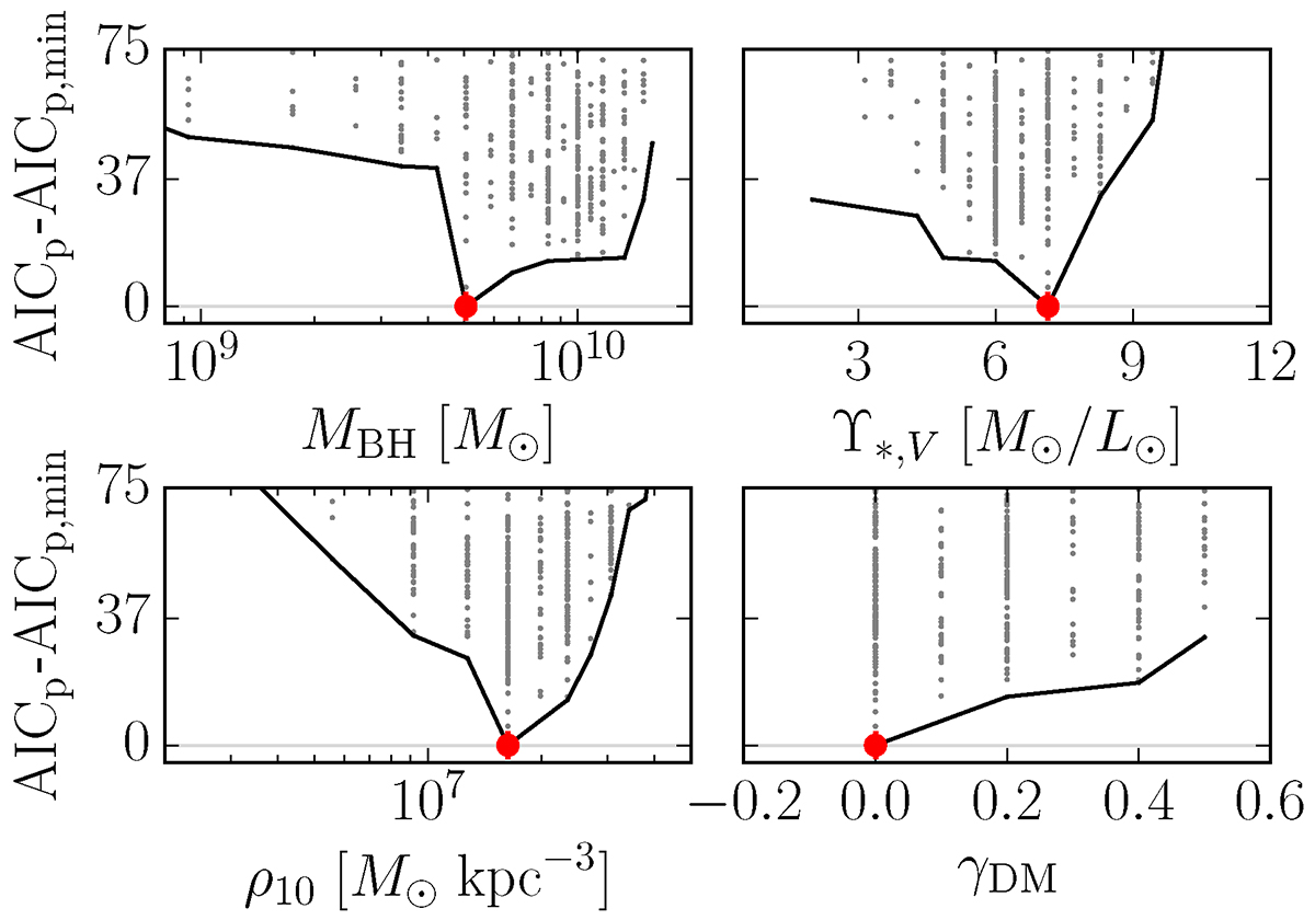
Results of the axisymmetric modeling of NGC 1272 of the complete stellar kinematic dataset. As a function of the quality of the fits measured by the AICp we show: from left to right, and from top to bottom: the BH mass MBH; the dynamical V-band mass-to-light ratio Υ*, V; the DM density at 10 kpc ρ10; and the inner slope of the DM density profile γDM. The gray points show the individual models, the red dots show the best-fitting model, and the black lines show the lower envelope of the distributions of gray points.
Current usage metrics show cumulative count of Article Views (full-text article views including HTML views, PDF and ePub downloads, according to the available data) and Abstracts Views on Vision4Press platform.
Data correspond to usage on the plateform after 2015. The current usage metrics is available 48-96 hours after online publication and is updated daily on week days.
Initial download of the metrics may take a while.