Fig. 4.

Download original image
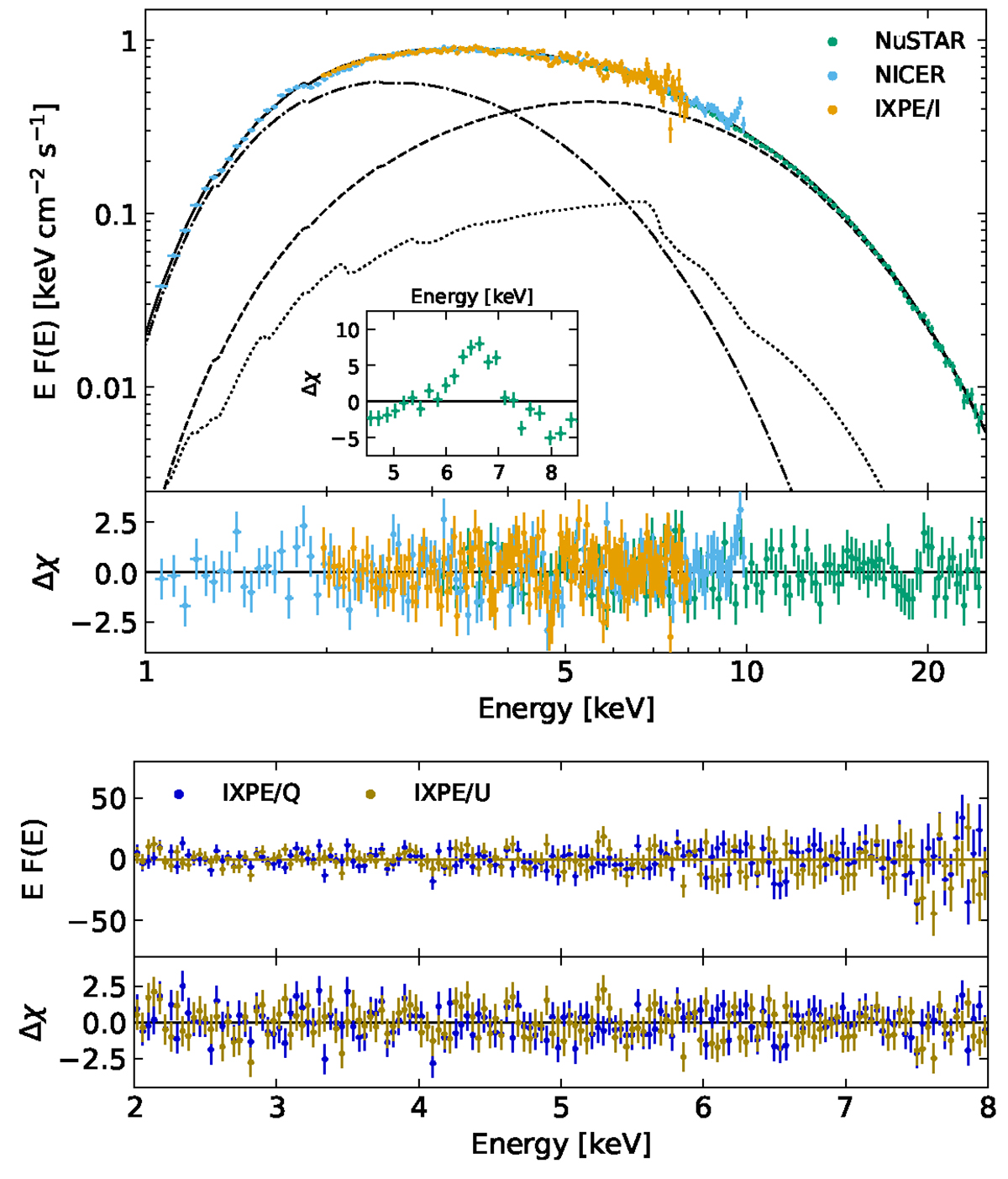
Deconvolved IXPE (2–8 keV), NuSTAR (3–25 keV), NICER (1–10 keV) spectra (top panels), and IXPE Q and U Stokes spectra (bottom panels), with the best-fit model during the UB state and residuals in units of σ. We added the residuals without including the reflection components in the zoomed plot, highlighting the Fe Kα line profile. The best-fit model includes diskbb (dash-dotted lines), thcomp*bbodyrad (dashed lines), and relxillNS (dotted lines).
Current usage metrics show cumulative count of Article Views (full-text article views including HTML views, PDF and ePub downloads, according to the available data) and Abstracts Views on Vision4Press platform.
Data correspond to usage on the plateform after 2015. The current usage metrics is available 48-96 hours after online publication and is updated daily on week days.
Initial download of the metrics may take a while.