Fig. 1

Download original image
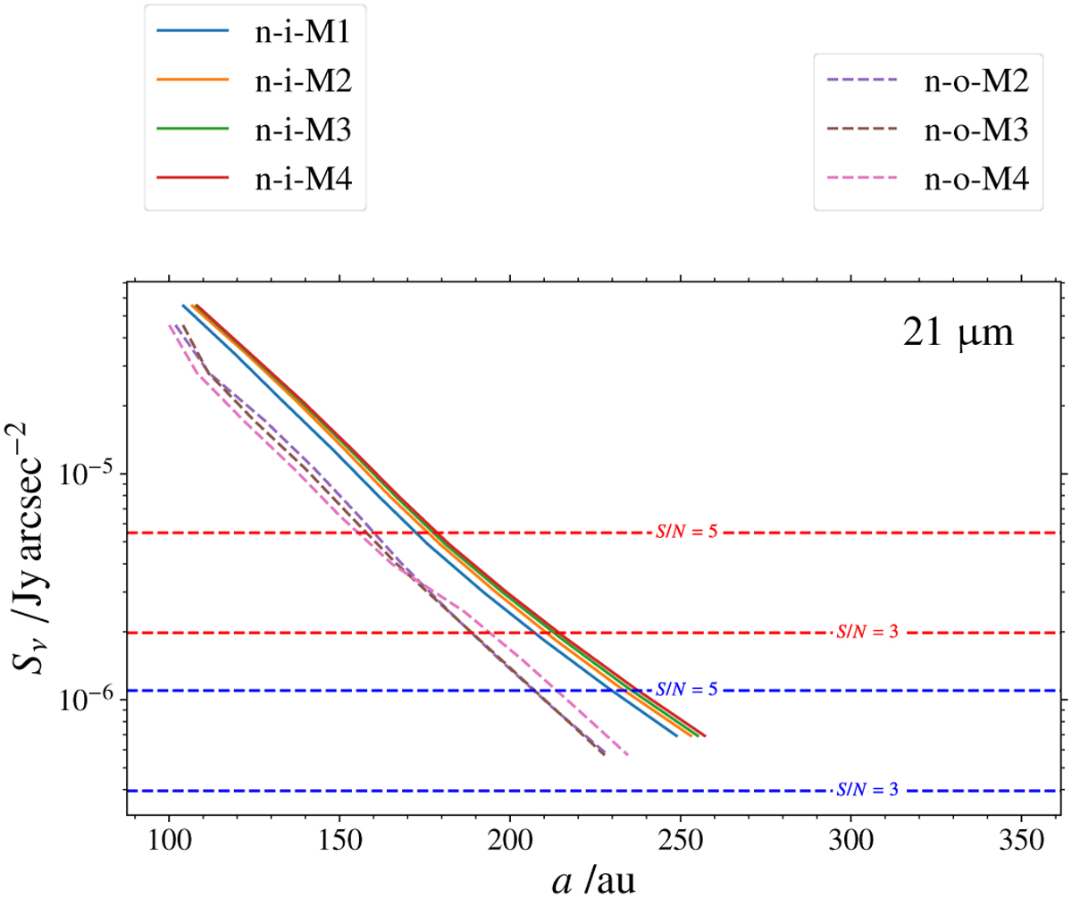
Same as the third panel of Fig. B.2 in the original article, but with the correct sensitivity limits used to compute the surface brightness values of the horizontal dashed lines. These horizontal lines denote the minimum surface brightness required to achieve a certain detection significance (S/N) using JWST/MIRI at a wavelength of 21 µm. Red lines are for an exposure time of texp = 1 h, blue lines for texp = 5 h.
Current usage metrics show cumulative count of Article Views (full-text article views including HTML views, PDF and ePub downloads, according to the available data) and Abstracts Views on Vision4Press platform.
Data correspond to usage on the plateform after 2015. The current usage metrics is available 48-96 hours after online publication and is updated daily on week days.
Initial download of the metrics may take a while.