Fig. 11.

Download original image
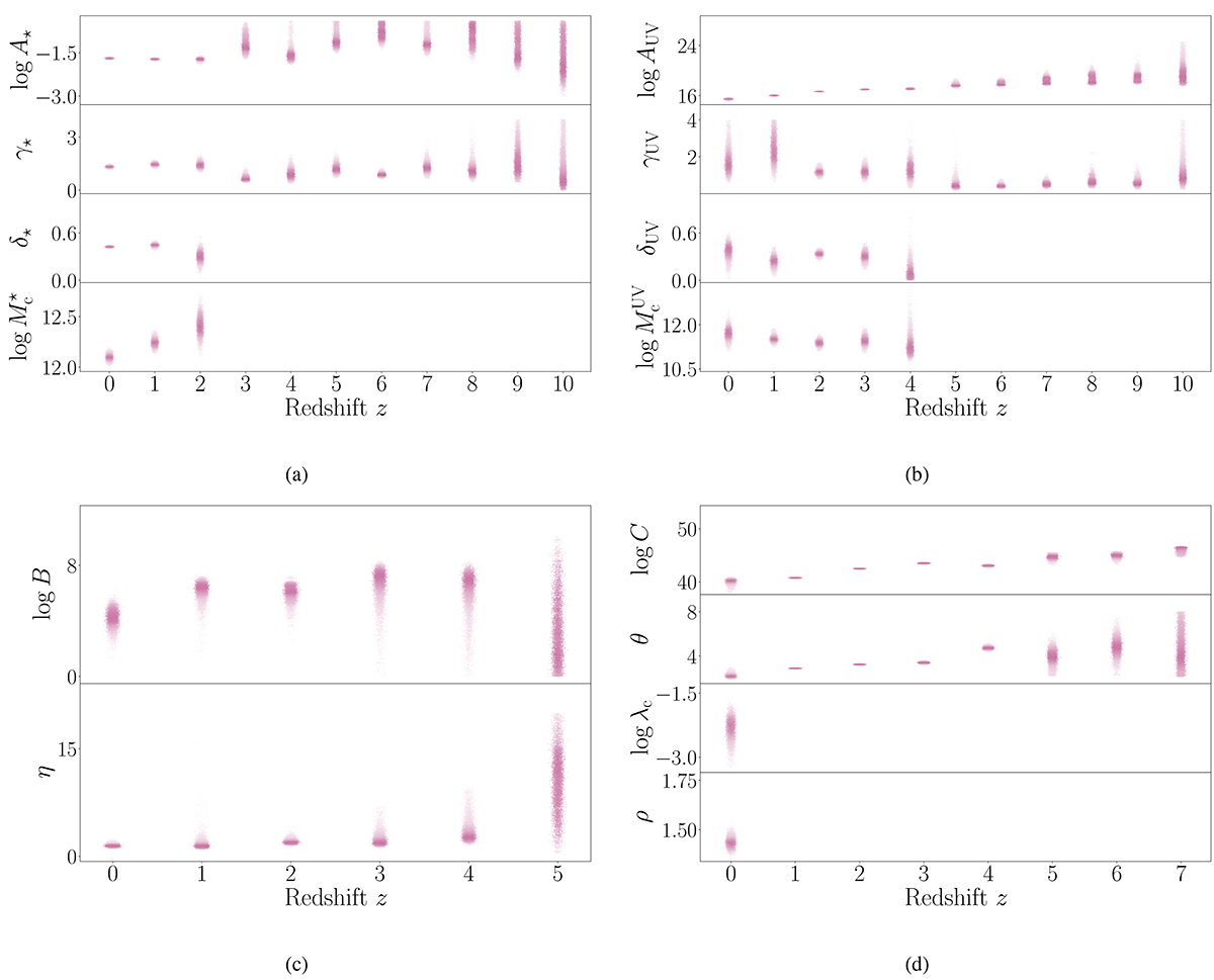
Parameter sample across redshift: A random sample of the model parameter drawn from the posterior distributions at every redshift. Increased colour saturation indicates a larger value for the probability density. (a) Stellar mass function parameter sample. The critical mass parameter Mc⋆ and AGN feedback parameter δ are weakly constrained at z > 2 and treated as nuisance parameters at higher redshift. (b) UV luminosity function parameter sample. The normalisation AUV is given in erg s−1 Hz−1 M⊙−1. (c) Type 1 active black hole mass function parameter sample. (d) Quasar luminosity function parameter sample. The normalisation C is given in erg s−1 M⊙−1.
Current usage metrics show cumulative count of Article Views (full-text article views including HTML views, PDF and ePub downloads, according to the available data) and Abstracts Views on Vision4Press platform.
Data correspond to usage on the plateform after 2015. The current usage metrics is available 48-96 hours after online publication and is updated daily on week days.
Initial download of the metrics may take a while.