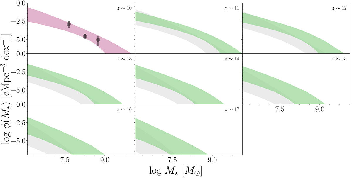
Fig. C.1.

Download original image
Extrapolated galaxy stellar mass function. The predicted GSMF is calculated by extrapolating the stellar mass – halo mass relation to the redshift in question and evolving the HMF (green), and by fixing the stellar mass – halo mass relation to the distribution at z = 10 and only evolving the HMF(grey). The pink band is the last GSMF constrained by data. The shown bands correspond to the 68% credible regions.
Current usage metrics show cumulative count of Article Views (full-text article views including HTML views, PDF and ePub downloads, according to the available data) and Abstracts Views on Vision4Press platform.
Data correspond to usage on the plateform after 2015. The current usage metrics is available 48-96 hours after online publication and is updated daily on week days.
Initial download of the metrics may take a while.