Open Access

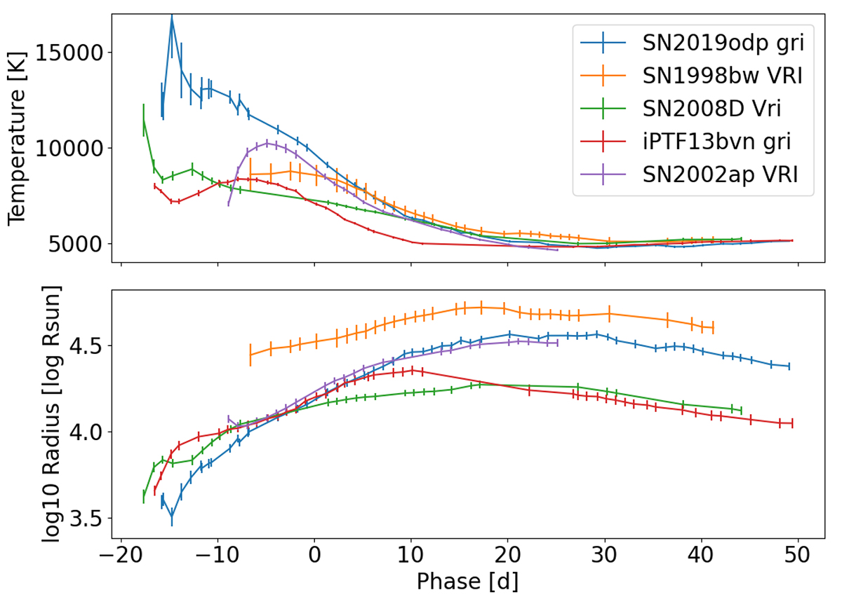
Fig. 10.

image

Download original image

Time evolution of the inferred blackbody parameters from the photometry for SN 2019odp and selected comparison objects. We chose the closest matching filter sets for all transients and performed our own fitting for all objects. The error bars contain all uncertainties including the distance and extinction uncertainties. The upper panel shows the temperature time evolution and the lower panel the photospheric radius time evolution.

Current usage metrics show cumulative count of Article Views (full-text article views including HTML views, PDF and ePub downloads, according to the available data) and Abstracts Views on Vision4Press platform.

Data correspond to usage on the plateform after 2015. The current usage metrics is available 48-96 hours after online publication and is updated daily on week days.

Initial download of the metrics may take a while.