Fig. 6.

Download original image
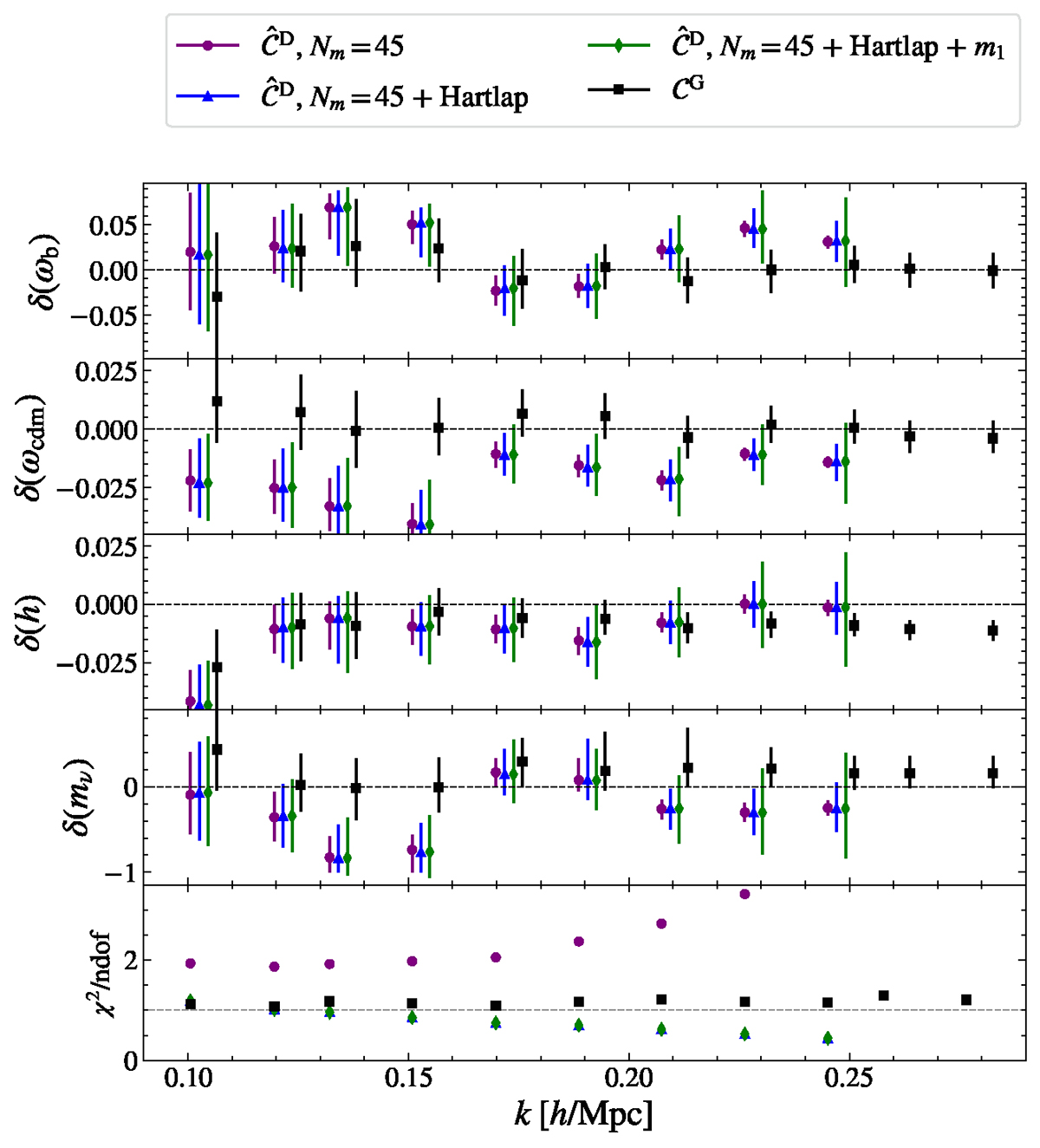
Marginalised parameter constraints, derived from the same cases as in Figure 5. The four top panels represent the relative difference with the 16ν cosmology for each free parameter. The bottom panel shows the χ2 over nd.o.f.. On this last panel the green and blue dots overlap because the difference is just in the presence of m1 which does not affect the χ2.
Current usage metrics show cumulative count of Article Views (full-text article views including HTML views, PDF and ePub downloads, according to the available data) and Abstracts Views on Vision4Press platform.
Data correspond to usage on the plateform after 2015. The current usage metrics is available 48-96 hours after online publication and is updated daily on week days.
Initial download of the metrics may take a while.