Open Access

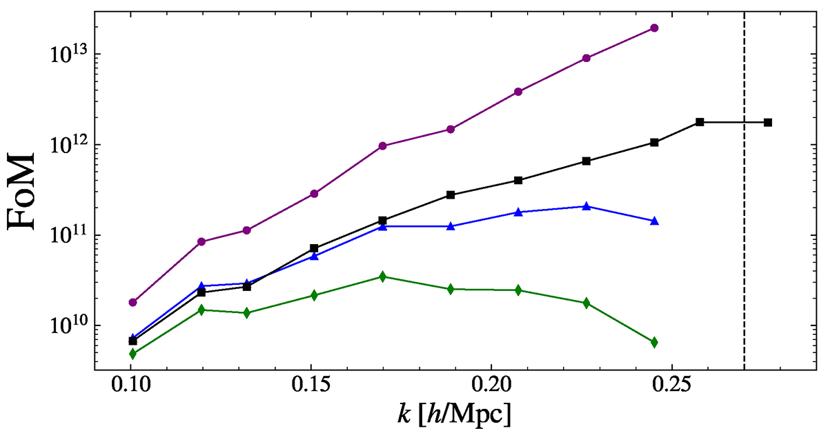
Fig. 7.

image

Download original image

FoM obtained from the parameter constraints in the 16ν cosmology for the same cases and with the same colour code as in Figures 5 and 6. The vertical dashed line shows the kmax corresponding to the limit Nb = Nm − 2, above which the covariance matrix estimated with Nm = 45 cannot be inverted.

Current usage metrics show cumulative count of Article Views (full-text article views including HTML views, PDF and ePub downloads, according to the available data) and Abstracts Views on Vision4Press platform.

Data correspond to usage on the plateform after 2015. The current usage metrics is available 48-96 hours after online publication and is updated daily on week days.

Initial download of the metrics may take a while.