Fig. 8

Download original image
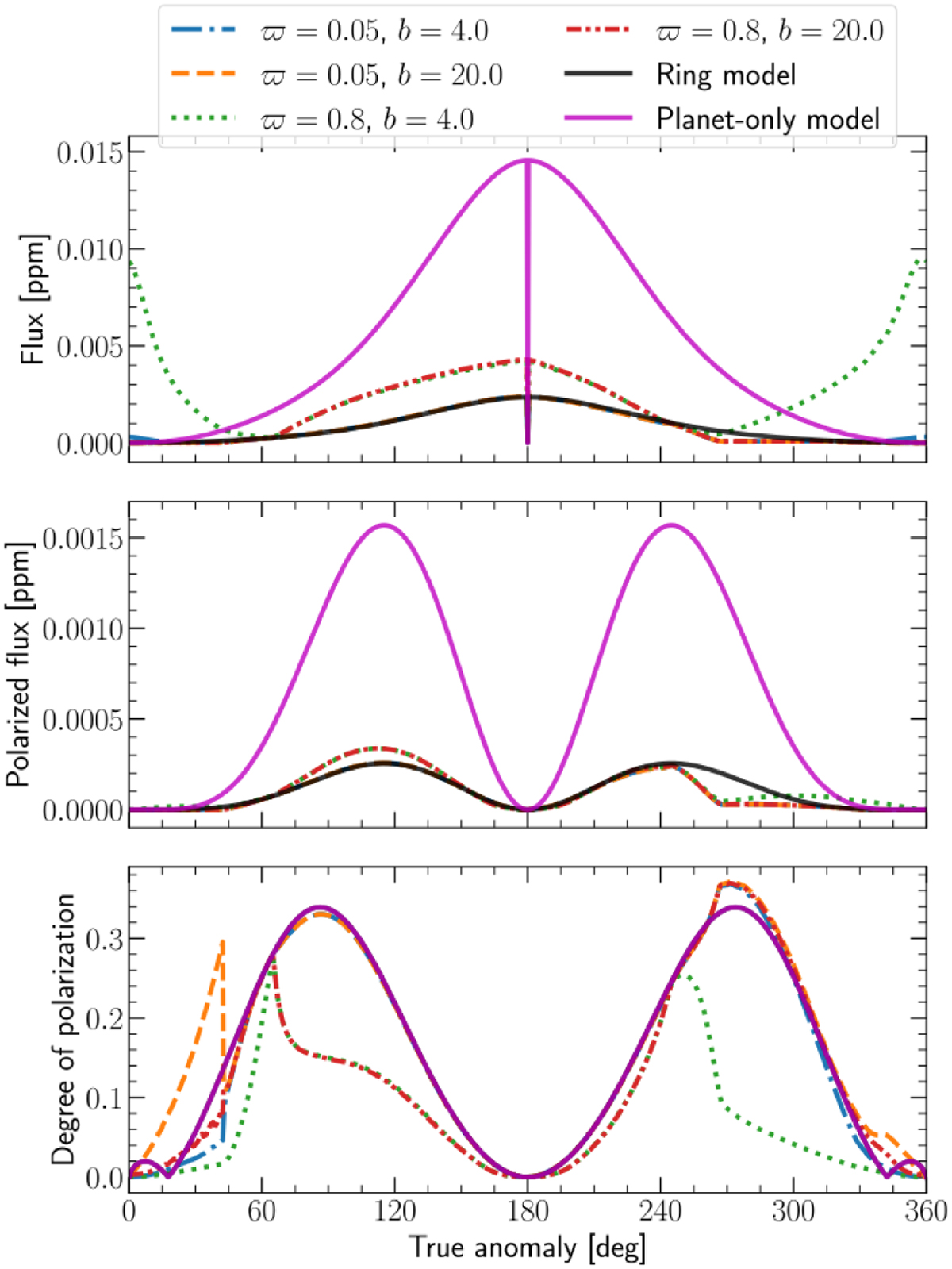
Polarimetric light-curve set of a ringed and ringless HIP 41378 f planet for different values of b and ϖ as functions of ν. The magenta curves pertain to the ringless puffed-up planet, and the black curves show the ringed planet model, but without a ring, using the parameter values of Akinsanmi et al. (2020). All curves use the same orbital inclination and stellar properties, but the magenta curve has a different semimajor axis (a/r* = 231.6). In the Fpol plot, the magenta curve has been omitted as it has the same shape as the black curve, except with maximum values up to 0.0015 ppm. In the P plot, the magenta and black curves overlap.
Current usage metrics show cumulative count of Article Views (full-text article views including HTML views, PDF and ePub downloads, according to the available data) and Abstracts Views on Vision4Press platform.
Data correspond to usage on the plateform after 2015. The current usage metrics is available 48-96 hours after online publication and is updated daily on week days.
Initial download of the metrics may take a while.