Fig. 12

Download original image
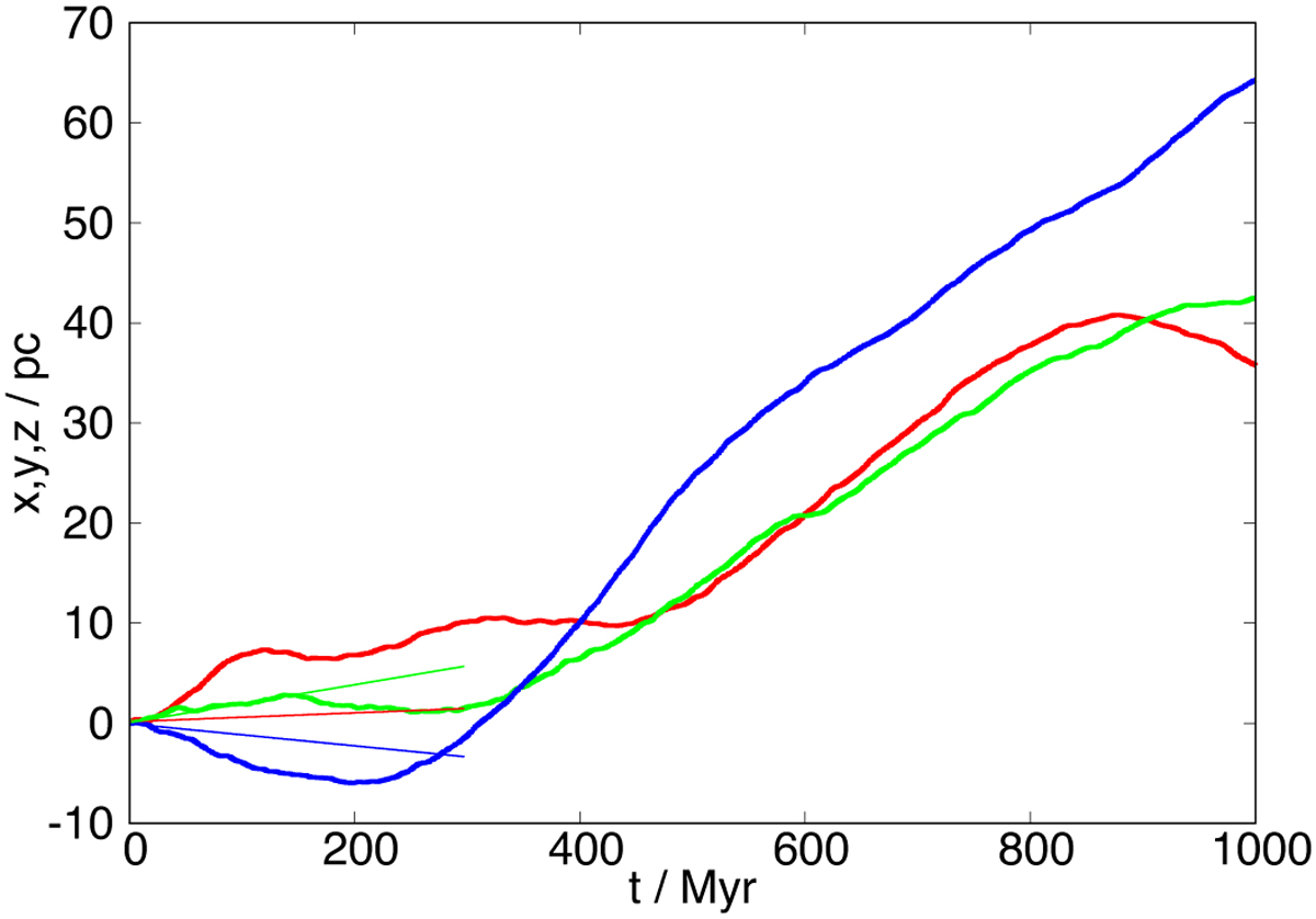
Centre of mass evolution of an isolated MLD-Plummer sphere: The thick lines show the x-(red), y-(green) and z-(blue)component of the Newtonian centre of mass evolution with time of an isolated Plummer sphere in MLD. The thin lines show the evolution of the Newtonian centre of mass of a Plummer sphere in Newtonian dynamics with identical initial conditions as the MLD-Plummer sphere (with identical colorcoding of the spatial components).
Current usage metrics show cumulative count of Article Views (full-text article views including HTML views, PDF and ePub downloads, according to the available data) and Abstracts Views on Vision4Press platform.
Data correspond to usage on the plateform after 2015. The current usage metrics is available 48-96 hours after online publication and is updated daily on week days.
Initial download of the metrics may take a while.