Fig. 3

Download original image
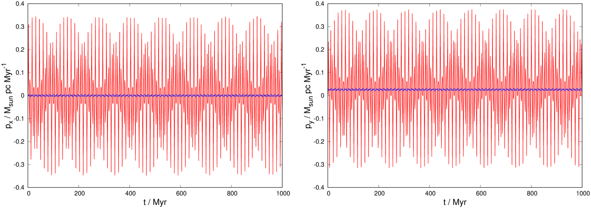
Evolution of the linear momentum of a deep MOND MLD-binary: the slightly varying blue curve shows the MLD-linear momentum in Eq. (43) as a function of time. The strongly oscillating red curve shows the time evolution of the corresponding Newtonian linear momentum, . Left: x-component of the linear momentum. Right: y-component of the linear momentum.
Current usage metrics show cumulative count of Article Views (full-text article views including HTML views, PDF and ePub downloads, according to the available data) and Abstracts Views on Vision4Press platform.
Data correspond to usage on the plateform after 2015. The current usage metrics is available 48-96 hours after online publication and is updated daily on week days.
Initial download of the metrics may take a while.