Open Access

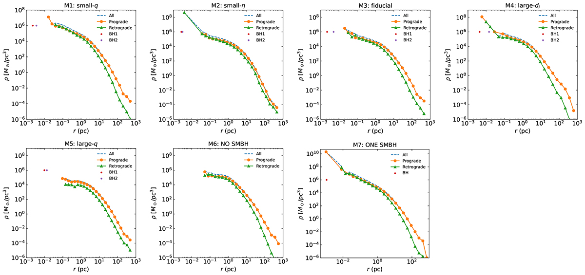
Fig. A.1.

image

Download original image

Spatial density of the prograde (orange line with bullets) and retrograde (green line with triangles) stellar components of the final NSC. The density profile of the whole NSC is also shown (blue dashed line). The final distance from the centre of the two SMBHs forming each binary, or of the single SMBH in the case of M7, is shown using one or two bullets.

Current usage metrics show cumulative count of Article Views (full-text article views including HTML views, PDF and ePub downloads, according to the available data) and Abstracts Views on Vision4Press platform.

Data correspond to usage on the plateform after 2015. The current usage metrics is available 48-96 hours after online publication and is updated daily on week days.

Initial download of the metrics may take a while.