Fig. 4

Download original image
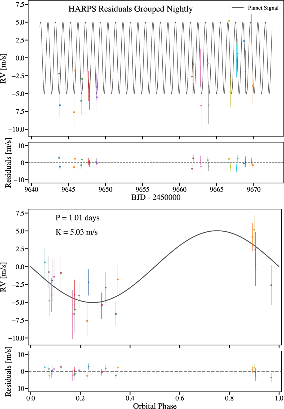
HARPS RV residuals after fitting CORALIE and HARPS data with a two-planet plus trend model described in Sect. 3.2.2. Here we only include HARPS data that had two observations in one night for a total of 12 nights. We then fit a single Keplerian model with each night treated as different instrument with its own offset. Each night is shown with different colors. We show the phased RV plot in the bottom.
Current usage metrics show cumulative count of Article Views (full-text article views including HTML views, PDF and ePub downloads, according to the available data) and Abstracts Views on Vision4Press platform.
Data correspond to usage on the plateform after 2015. The current usage metrics is available 48-96 hours after online publication and is updated daily on week days.
Initial download of the metrics may take a while.