Press Release
Open Access

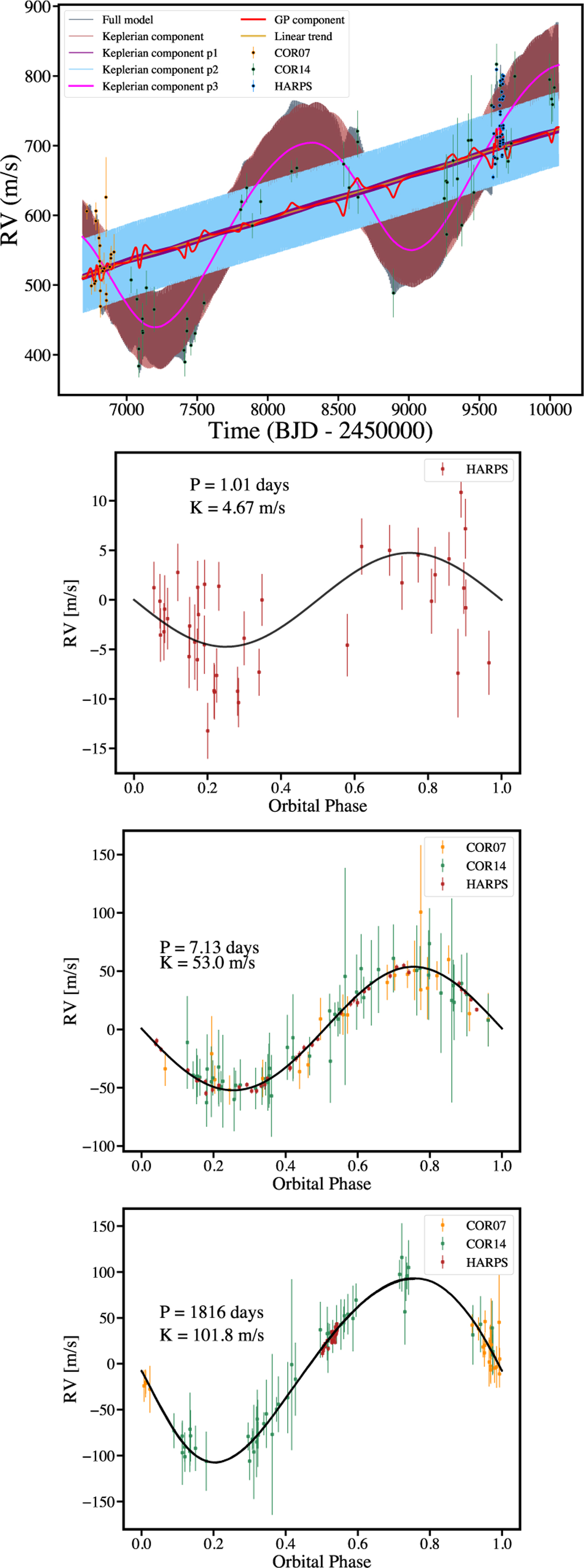
Fig. 7

image

Download original image

RV fit from global juliet model to WASP-132. The top plot shows the full RV set with the different model components. The second from the top shows the phased RV data and juliet fit to planet c with only the HARPS data plotted, while the bottom two plots show planets b and d, respectively, with both HARPS and CORALIE data.

Current usage metrics show cumulative count of Article Views (full-text article views including HTML views, PDF and ePub downloads, according to the available data) and Abstracts Views on Vision4Press platform.

Data correspond to usage on the plateform after 2015. The current usage metrics is available 48-96 hours after online publication and is updated daily on week days.

Initial download of the metrics may take a while.