Open Access

Fig. 6

image

Download original image

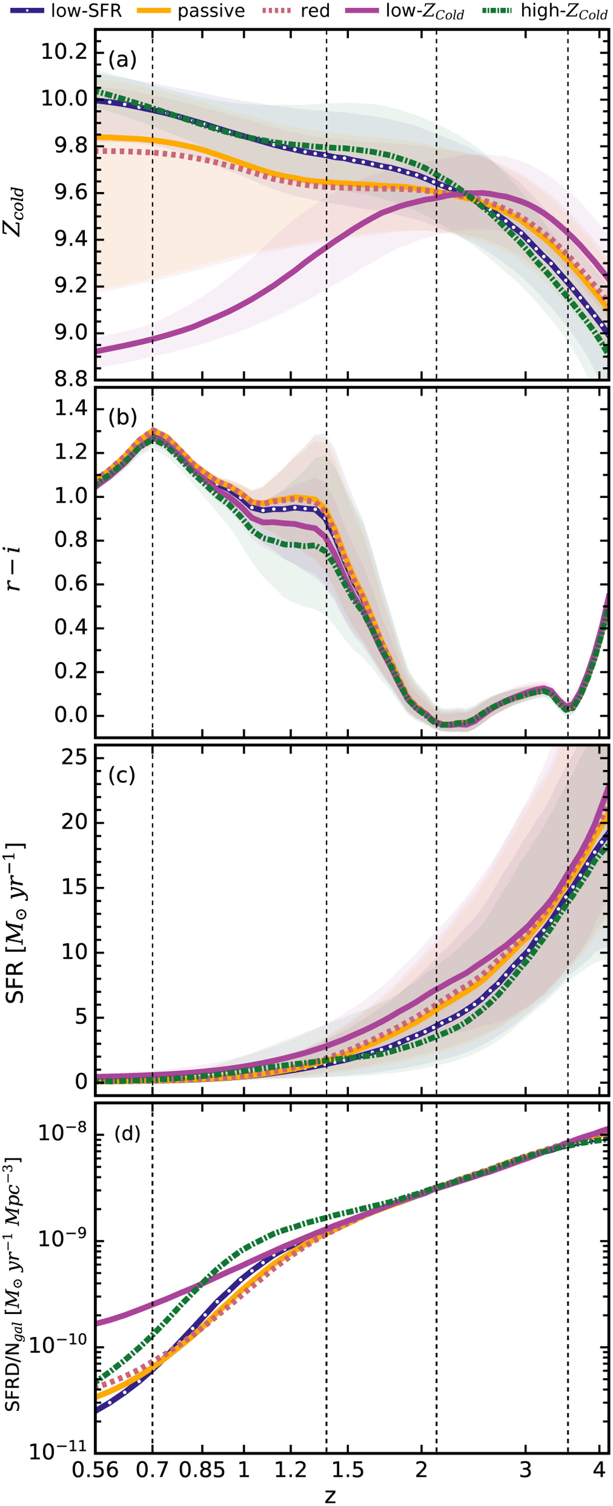
From top to bottom, we present the redshift evolution of the following galaxy properties: (a) the cold gas-phase metallicity, Zcold ; (b) the observed colour, (r-i); (c) the star formation rate, SFR; and (d) the star formation rate density, SFRD, normalised by the number of galaxies in each sub-sample at a particular redshift. The vertical thin dashed lines mark redshifts of prominent line features in (r-i). The figure utilises the same colour scheme, line style keys, and statistical methods as in Fig. 3.

Current usage metrics show cumulative count of Article Views (full-text article views including HTML views, PDF and ePub downloads, according to the available data) and Abstracts Views on Vision4Press platform.

Data correspond to usage on the plateform after 2015. The current usage metrics is available 48-96 hours after online publication and is updated daily on week days.

Initial download of the metrics may take a while.