Open Access

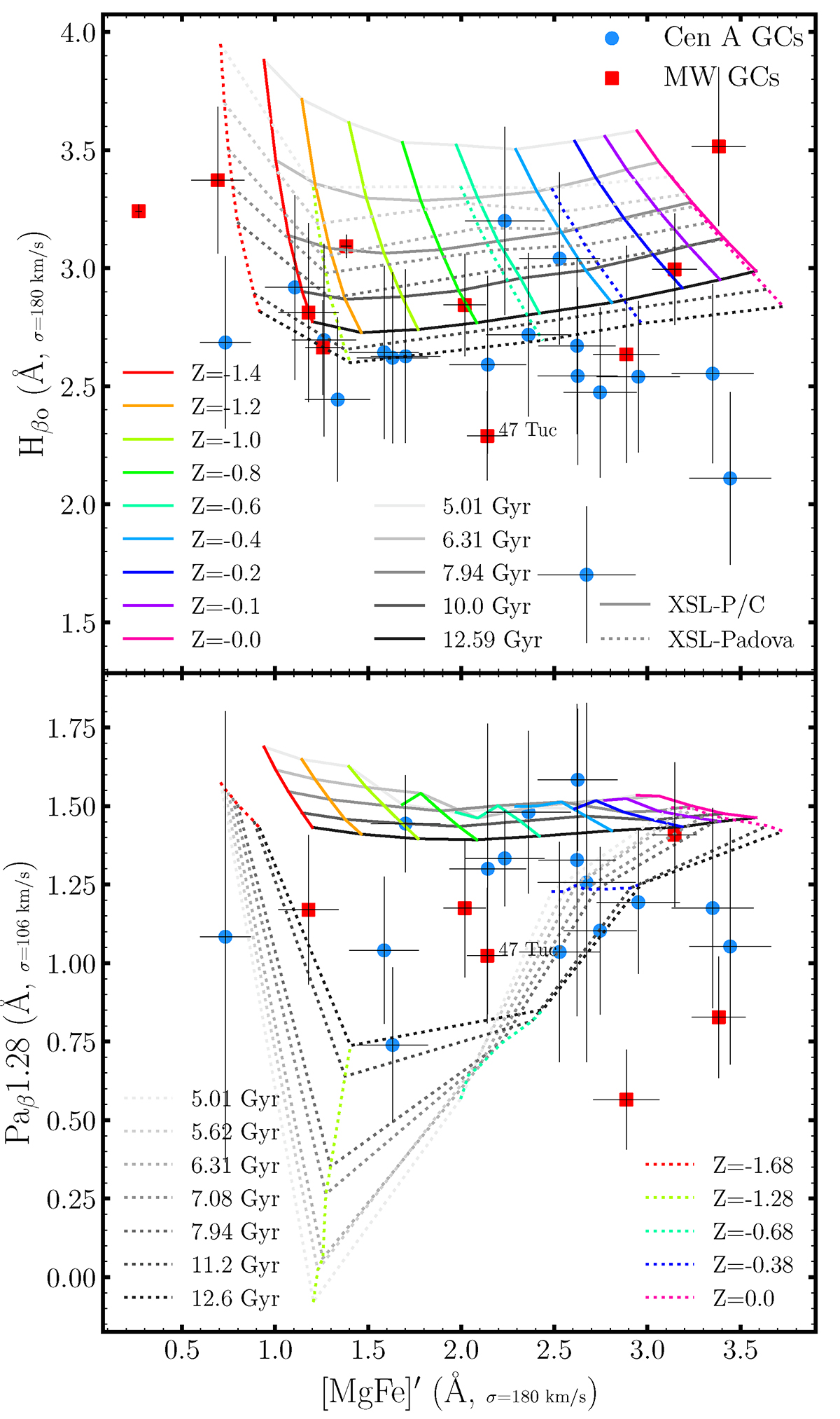
Fig. B.1.

image

Download original image

Comparison of different isochrones. Hβo (upper panels) and Paβ1.28 (lower panels) line strengths of GCs from the Cen A galaxy (blue points) and the MW (red squares) are plotted against the metallicity indicator [MgFe]′. XSL models with P/C and Padova isochrones are shown with solid and dotted grids, respectively.

Current usage metrics show cumulative count of Article Views (full-text article views including HTML views, PDF and ePub downloads, according to the available data) and Abstracts Views on Vision4Press platform.

Data correspond to usage on the plateform after 2015. The current usage metrics is available 48-96 hours after online publication and is updated daily on week days.

Initial download of the metrics may take a while.