Open Access

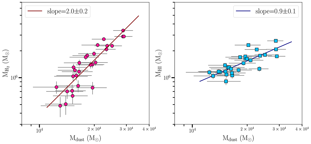
Fig. 13.

image

Download original image

Relation of atomic gas mass MHI (blue) and molecular gas mass MH2 (pink) with dust mass Mdust in NGC 2976. A 3σrms cutoff is applied on the included pixels. The lines show OLS-bisector fits; the slopes are indicated in the insets (see also Table 9).

Current usage metrics show cumulative count of Article Views (full-text article views including HTML views, PDF and ePub downloads, according to the available data) and Abstracts Views on Vision4Press platform.

Data correspond to usage on the plateform after 2015. The current usage metrics is available 48-96 hours after online publication and is updated daily on week days.

Initial download of the metrics may take a while.