Open Access

Fig. 6.

image

Download original image

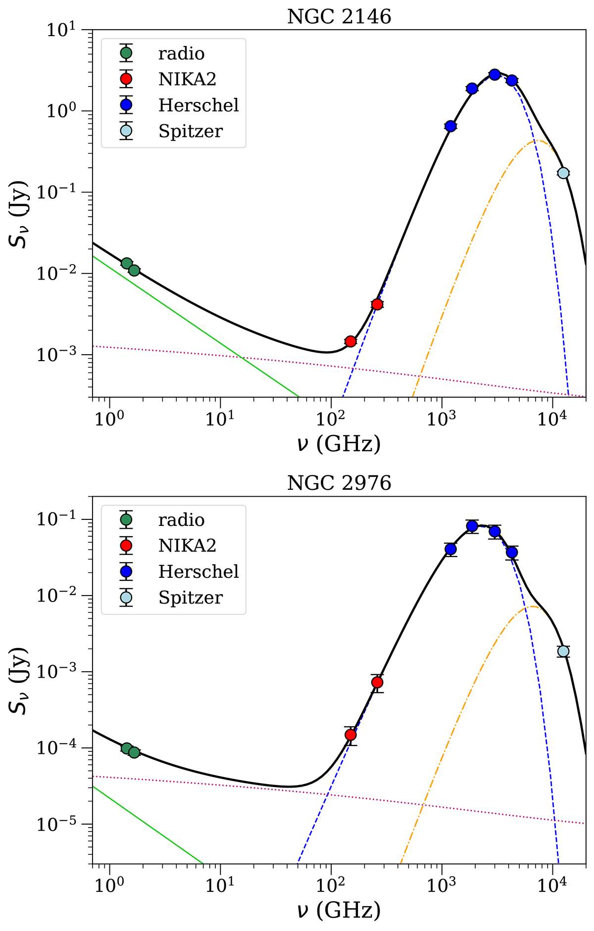
IR-to-radio SEDs of a selected pixel in NGC 2146 (top) and NGC 2976 (bottom). The curves show the cold dust (blue dashed curve), warm dust (orange dot-dashed curve), free-free (purple dotted curve), and synchrotron (green solid curve) emissions.

Current usage metrics show cumulative count of Article Views (full-text article views including HTML views, PDF and ePub downloads, according to the available data) and Abstracts Views on Vision4Press platform.

Data correspond to usage on the plateform after 2015. The current usage metrics is available 48-96 hours after online publication and is updated daily on week days.

Initial download of the metrics may take a while.