Open Access

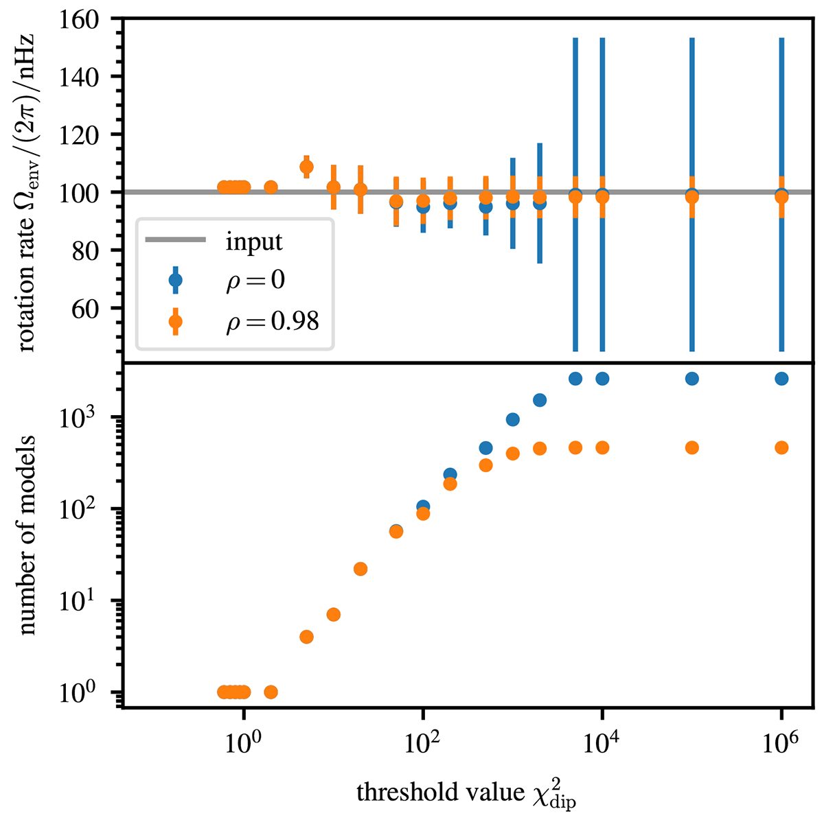
Fig. D.2.

image

Download original image

Estimated envelope rotation rate and number of selected reference models as a function of the threshold in χdip2. Upper panel: Envelope rotation rate as a function of the threshold value in χdip2 using the fiducial model as the synthetic observation. The reference models are selected from the M, αMLT-grid. The input value is shown with the grey line. Threshold values of ρ = 0 and ρ = 0.98 are shown in blue and orange, respectively. Lower panel: Number of models selected as a function of the threshold value in χdip2. Synthetic observation and stellar model grid are the same as in the upper panel. The colours have the same meaning as in the upper panel.

Current usage metrics show cumulative count of Article Views (full-text article views including HTML views, PDF and ePub downloads, according to the available data) and Abstracts Views on Vision4Press platform.

Data correspond to usage on the plateform after 2015. The current usage metrics is available 48-96 hours after online publication and is updated daily on week days.

Initial download of the metrics may take a while.